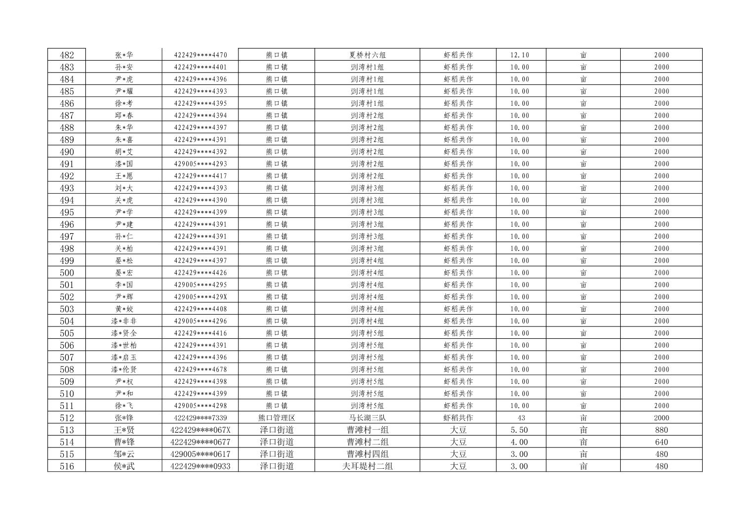
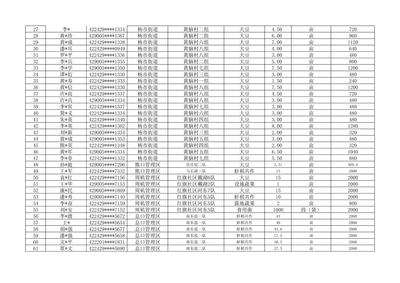
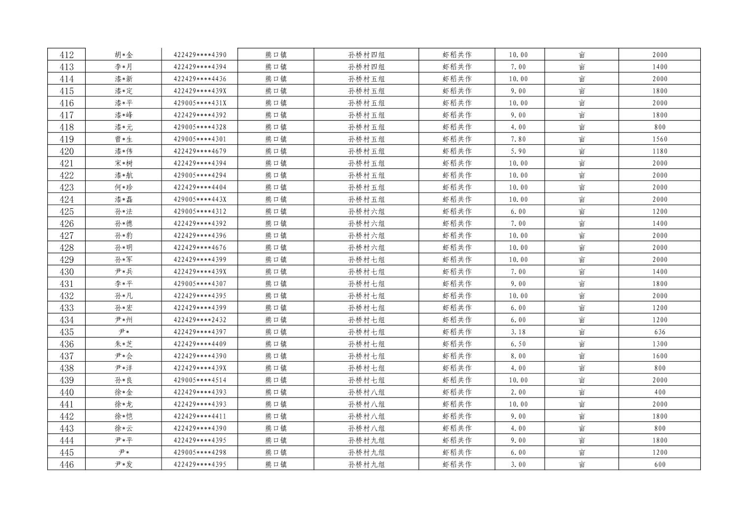
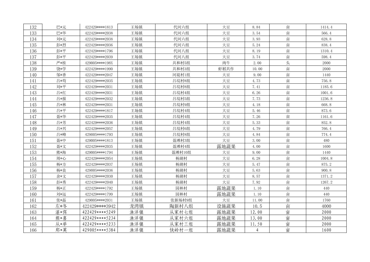
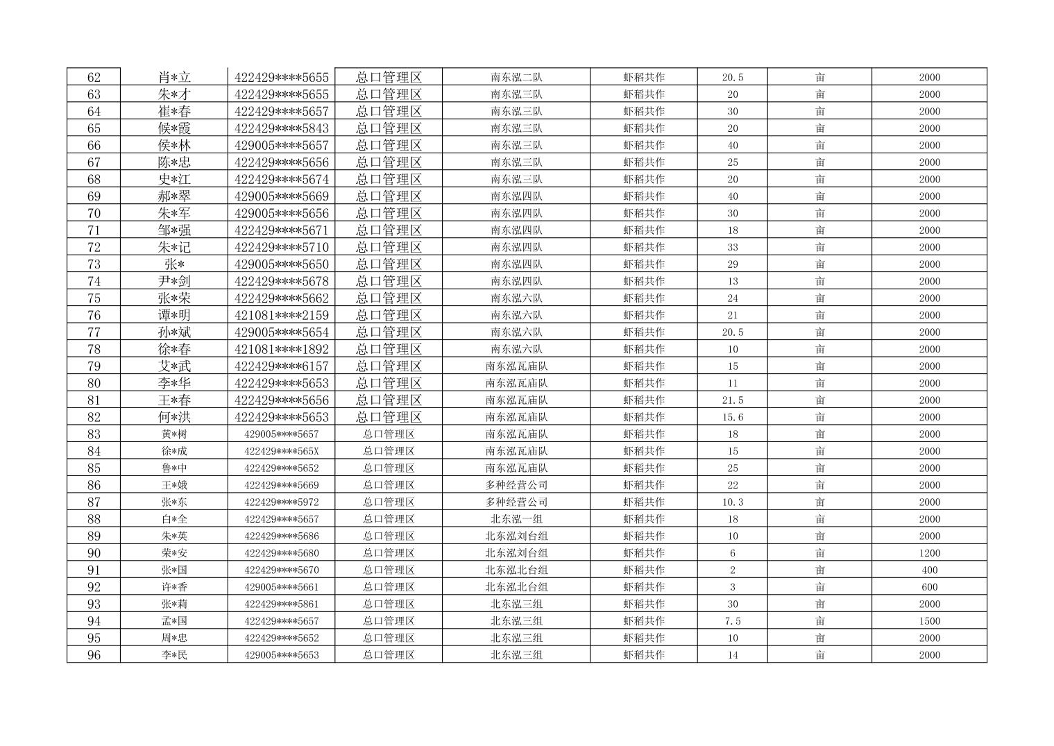
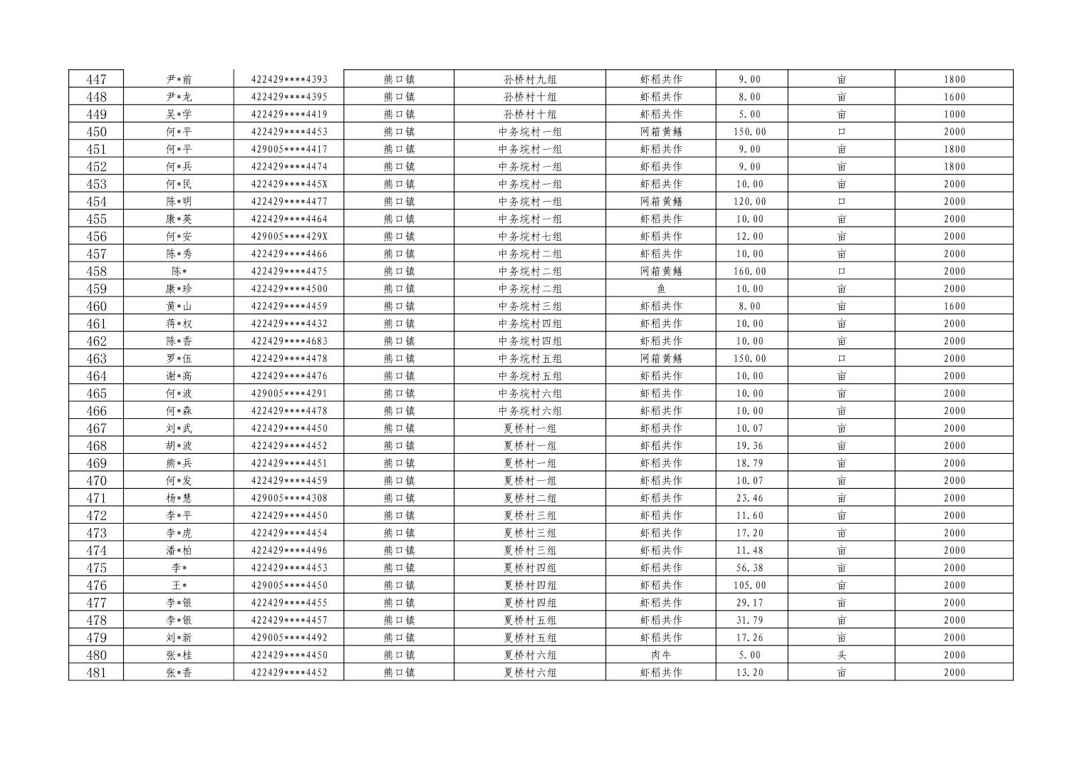
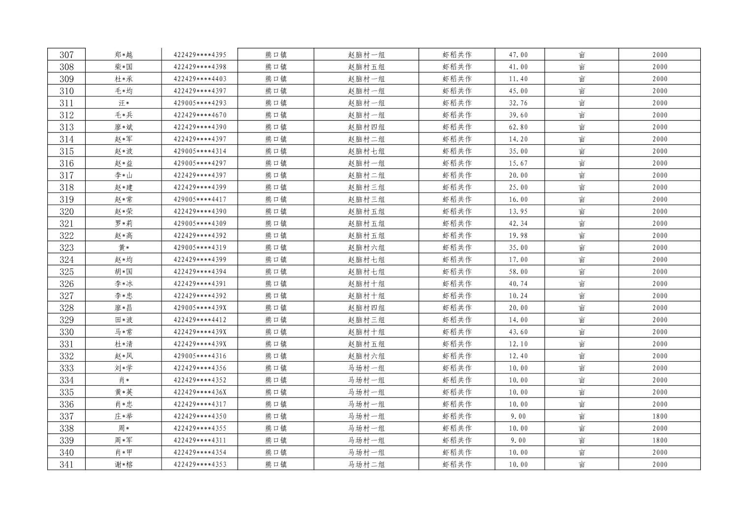
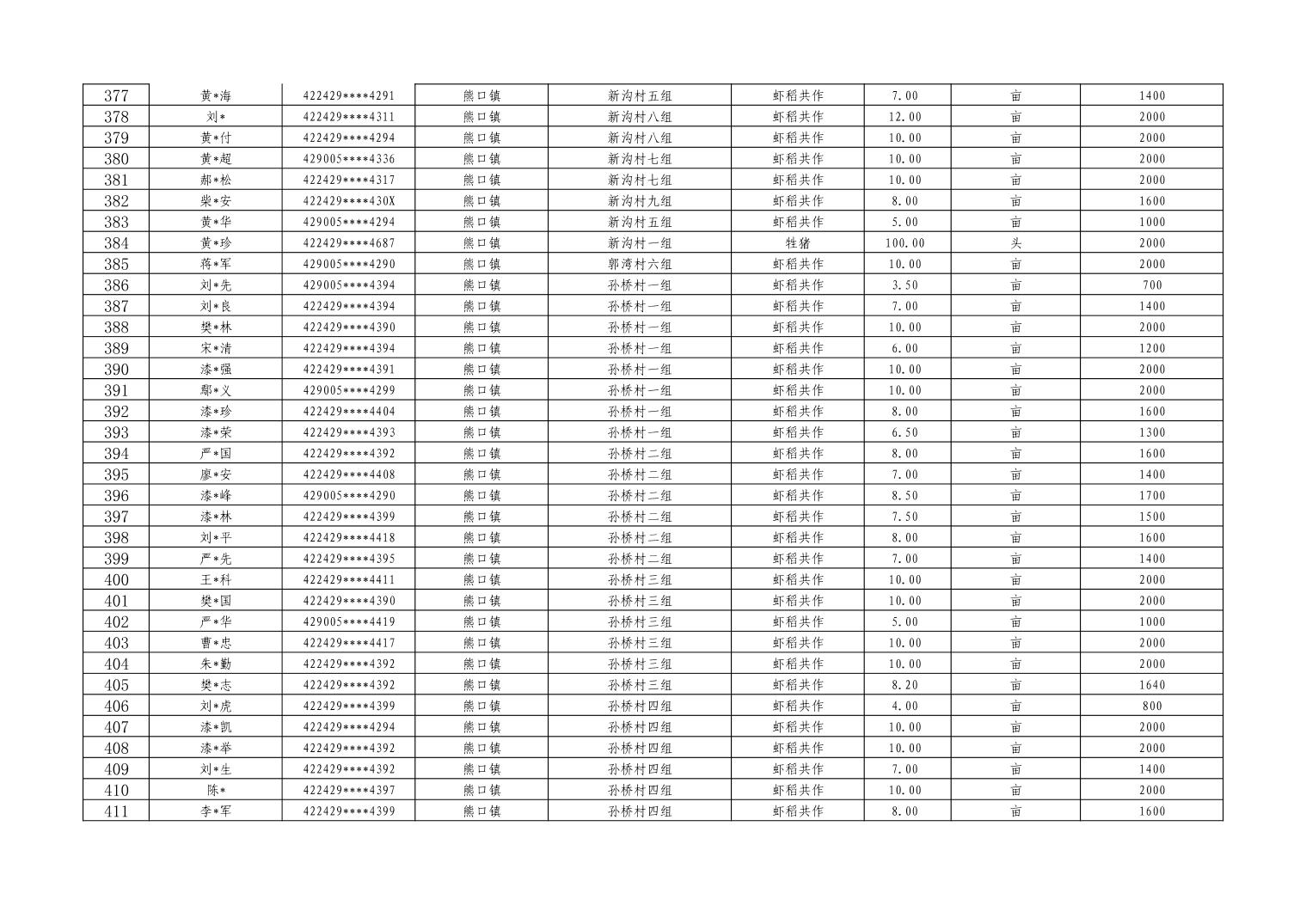
潜江市2025年脱贫户(监测户)第四季度特色种植养殖财政补贴明细表
索 引 号:
011396186/2026-01252
主题分类:
其他
发布机构:
市农业农村局帮扶科
发文日期:
2026年01月07日 15:07:19
文 号:
文 号:无
效力状态: 有效
发布日期:
2026年01月07日 15:07:19
名 称:
潜江市2025年脱贫户(监测户)第四季度特色种植养殖财政补贴明细表
5850469
潜江市2025年脱贫户(监测户)第四季度特色种植养殖财政补贴明细表
20
2026-01-07
34350
衔接资金项目