繁體
|
登录
|
注册
|
政务邮箱
|
站群导航
|
无障碍浏览
湖北省政府网
|
长者模式
搜索
热门搜索:
首页
政府信息公开
办事服务
政民互动
数据开放
新闻中心
走进潜江
首页
政府信息公开
办事服务
政民互动
数据开放
新闻中心
走进潜江
首页
>
政府信息公开
>
政策
>
其他主动公开文件
>
公示公告
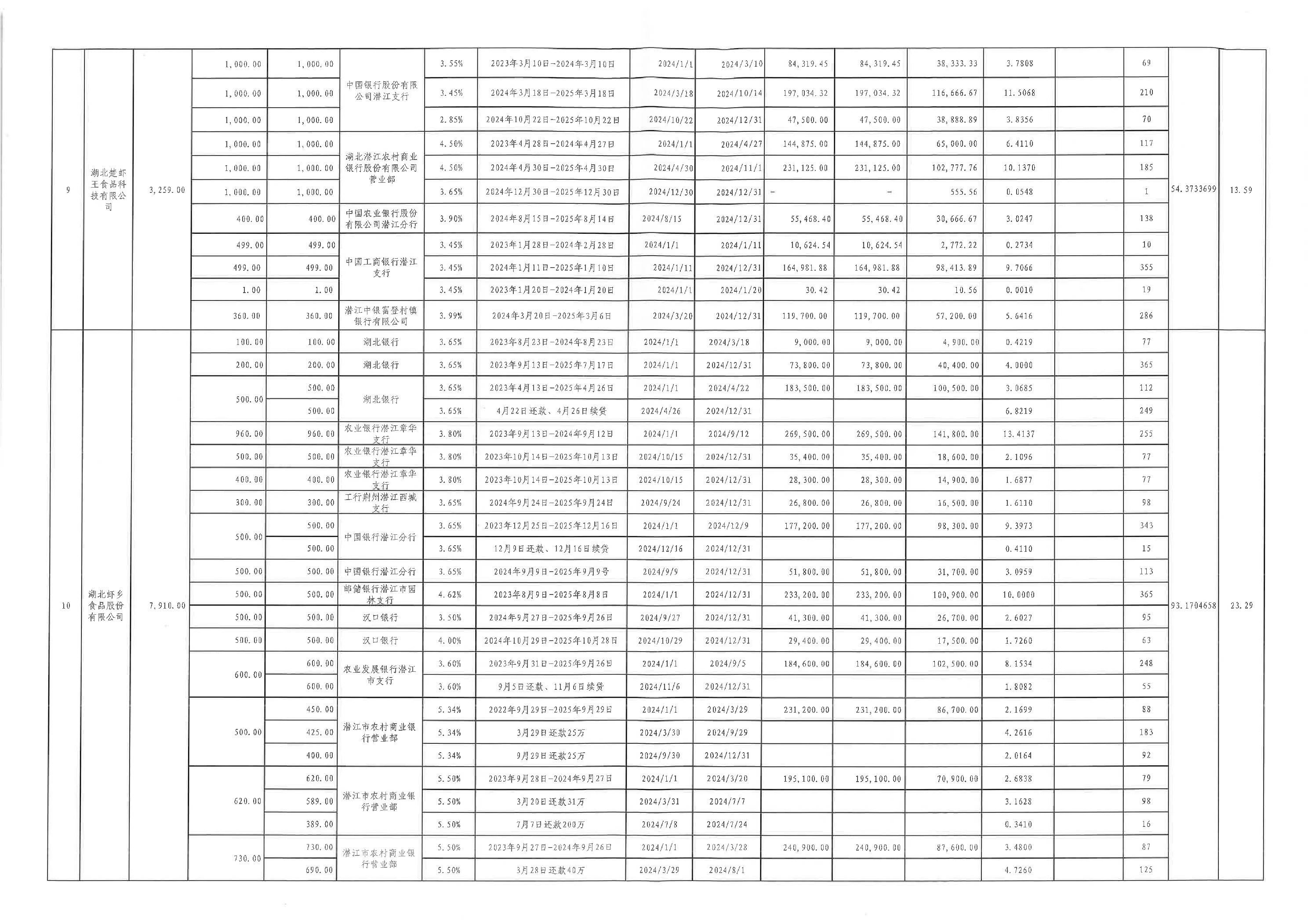
2025年新型农业经营主体(省级龙头企业)贷款贴息初核汇总表
发布时间:2025-03-13 12:10
来源:市农业农村局乡村产业科
江江智能助手
为您阅读
公示公告
扫一扫在手机上查看当前页面
我要纠错
关闭此页
智能推荐