潜江市财政局本级2024年度部门决算
目 录
第一部分 潜江市财政局本级概况...............01
一、部门主要职责.............................01
二、机构设置情况.............................06
第二部分潜江市财政局本级2024年度部门决算表...............................................07
一、收入支出决算总表.........................07
二、收入决算表...............................08
三、支出决算表...............................08
四、财政拨款收入支出决算总表.................09
五、一般公共预算财政拨款支出决算表...........10
六、一般公共预算财政拨款基本支出决算明细表...11
七、政府性基金预算财政拨款收入支出决算表.....12
八、国有资本经营预算财政拨款支出决算表.......12
九、财政拨款“三公”经费支出决算表...........12
第三部分潜江市财政局本级2024年度部门决算情况说明.............................................13
一、收入支出决算总体情况说明.................13
二、收入决算情况说明.........................13
三、支出决算情况说明.........................14
四、财政拨款收入支出决算总体情况说明.........15
五、一般公共预算财政拨款支出决算情况说明.....16
六、一般公共预算财政拨款基本支出决算情况说明.17
七、政府性基金预算财政拨款收入支出决算情况说明...............................................18
八、国有资本经营预算财政拨款支出决算情况说明.18
九、财政拨款“三公”经费支出决算情况说明....18
十、机关运行经费支出说明.....................20
十一、政府采购支出说明.......................20
十二、国有资产占用情况说明...................20
十三、预算绩效情况说明.......................21
十四、专项支出、转移支付支出情况说明.........23
第四部分其他需要说明的情况.................23
第五部分 名词解释...........................23
第六部分 附件...............................27
2024年度部门决算于2025年9月26日经市人大常委会批复,按照《预算法》规定,我单位将2024年度部门决算予以公开。
第一部分 潜江市财政局本级概况
一、部门主要职责
我单位主要职能是:
(一)拟订全市财政税收发展战略、规划、政策和改革方案并组织实施,分析预测宏观经济形势,参与制定各项宏观经济政策,提出运用财政税收政策实施宏观调控和综合平衡社会财力的建议,拟订市级与区镇处、政府与企业的分配政策,完善鼓励公益事业发展的财政税收政策。
(二)拟订有关财政、财务、会计管理的地方性法规和市政府规章草案,制定全市财政、财务、会计管理制度并指导、监督执行。组织涉外财政、债务等国际谈判并草签有关协议、协定。
(三)承担市级各项财政收支管理的责任。负责编制年度市级预决算草案并组织执行。受市政府委托,向市人民代表大会报告市级预算及其执行情况,向市人大常委会报告市级调整预算和市级决算。组织制定经费开支标准、定额,负责审核批复市直部门(单位)的年度预决算。完善转移支付制度。
(四)负责政府非税收入管理,负责政府性基金管理,按规定管理行政事业性收费。管理财政票据。制定彩票管理政策和有关办法,管理彩票市场,按规定管理彩票资金。
(五)组织制定国库管理制度、国库集中收付制度,指导和监督市级国库业务,按规定开展国库现金管理工作。负责制定并监督执行全市政府采购制度。负责制定全市财政信息化建设管理制度和技术标准,指导全市财政信息化建设工作。
(六)按照法律法规授权,组织起草税收政策调整方案,开展重大税收政策的调查研究。会同税务部门,贯彻执行税收政策。根据预算安排,确定财政收入计划,并组织实施。按照有关政策、法规的授权,会同税务部门审核和审批地方性税种的减免等事项。
(七)负责制定行政事业单位国有资产管理制度,按规定管理行政事业单位国有资产和文化体制改革中转制的文化企业国有资产。制定需要全市统一规定的开支标准和支出政策。负责财政预算内行政机构、事业单位和社会团体的非贸易外汇管理。
(八)负责制定国有资本经营预算的制度和办法,收取市本级企业国有资本收益,负责审核、汇总编制市级和全市国有资本经营预决算草案。制定并组织实施企业财务制度,按规定管理金融类企业国有资产。参与拟订企业国有资产管理相关制度,按规定管理资产评估工作。
(九)负责办理和监督市级财政的经济发展支出、市级政府性投资项目的财政拨款,参与拟订市级建设投资的有关政策,制定基本建设财务制度,负责有关政策性补贴和专项储备资金财政管理工作。负责管理和监督市级财政的农业支出、工商贸易性支出、公共支出和其他支出。负责农业综合开发管理工作。
(十)参与全市社会保障法规、政策和改革方案的研究制定。会同有关部门管理市级财政社会保障和就业及医疗卫生支出,监督社会保障资金的使用。会同有关部门拟订社会保障资金(基金)财务管理制度和管理办法,编制市级社会保障预决算草案。管理市级社会保障资金(基金)财政专户。
(十一)拟订和执行地方政府国内债务管理的制度和政策,依法制定地方政府债务管理制度和办法,防范财政风险。负责统一管理政府外债,制定和执行基本管理制度。承担市政府性债务管理工作。负责组织外国政府和国际金融组织贷(赠)款项目相关工作。负责全市地方金融类机构、地方性融资担保机构的财务监管。监管国债市场。
(十二)负责管理全市的会计工作,监督和规范会计行为,执行国家会计法律、法规、会计准则和会计制度。负责全市会计师事务所和市级会计代理记帐机构的行政审批和服务监管工作。指导和监督注册会计师和会计师事务所的业务,指导和管理社会审计。管理会计从业资格。组织会计专业技术资格报名、考试等管理工作。
(十三)根据市政府授权,依照《中华人民共和国公司法》等法律和行政法规履行出资人职责,监管市级企业国有资产,加强国有资产的管理工作。承担监督所监管企业国有资产保值增值的责任。建立和完善国有资产保值增值指标体系,制定所监管企业负责人业绩考核办法并组织年度和任期的业绩考核,通过统计、稽核对所监管企业国有资产的保值增值情况进行监管,负责所监管企业工资分配管理工作,制定所监管企业负责人收入分配政策并组织实施。
(十四)指导推进全市国有企业改革和重组,推进全市国有企业的现代企业制度建设,完善公司治理结构,推动全市国有经济结构和布局的战略性调整。按照干部管理权限,通过法定程序对所监管企业负责人进行任免、考核并根据其经营业绩进行奖惩,建立符合社会主义市场经济体制和现代企业制度要求的选人、用人机制,完善经营者激励和约束制度。
(十五)按照有关规定,代表市政府向所监管企业派出监事会,负责监事会的日常管理工作。负责组织所监管企业上交国有资本收益,参与制定国有资本经营预算有关管理制度和办法,按照有关规定编制所监管企业国有资本经营预决算草案,并负责执行。
(十六)按照出资人职责,负责督促检查所监管企业贯彻落实国家安全生产、信访维稳方针政策及有关法律法规、标准等工作。负责企业国有资产基础管理,贯彻落实国有资产管理的法律、行政法规和有关规章制度;指导企业法律顾问工作;依法对市属企业国有资产管理进行指导和监督。
(十七)负责对全市国有企业经营性资产、非经营性资产、公益性资产、资源性资产(包括国有土地、矿产、水、森林等国有资产)的产权登记、清查统计、纠纷调处,对产权变动进行申报。参与企业兼并破产工作,审核改制企业职工养老保险。按政府授权实行兜底政策。负责对工业园区债权资金的监督、审核、管理。
(十八)依法对全市农民负担及涉农收费的各个环节实施监督管理;负责农村承包(含土地流转)合同的签订、鉴证、监督和纠纷调处、仲裁管理工作;负责农村集体资产的评估、登记和日常管理工作;负责全市农村集体经济财务的日常审计监督工作;负责农村集体经济组织设立登记、成员培训、违规行为的处罚和日常工作管理;负责农村集体经济组织财务管理,建立和完成农村财务的各项管理制度;负责农民专业合作组织和“三村”(城中村、园中村、城郊村)产权制度改革的指导;负责农村经济政策调研、农村经济年报和农业经济效益的评估工作。
(十九)监督检查财税法律法规、政策的执行情况,反映财政收支管理中的重大问题。
(二十)负责市级财政投资评审工作。
(二十一)为大企业提供“直通车”服务。
(二十二)承办上级交办的其他事项。
二、机构设置情况
从单位构成看,潜江市财政局部门本级决算由机关内设机构18个(人教科、法规科、预算科、行政政法科、教科文科、社保科、农业科、综合科、产业发展科、国际(金融)科、行资(绩效)科、国库科、经建科、自然资源与生态环境科、老干科、行政审批科、机关纪委、办公室和工会组成。
第二部分 2024年度部门决算表
一、收入支出决算总表
公开01表 | ||
单位:潜江市财政局本级 | 2024年度 | 金额单位:万元 |
收入 | 支出 | ||||
项目 | 行次 | 金额 | 项目 | 行次 | 金额 |
栏次 | 1 | 栏次 | 2 | ||
一、一般公共预算财政拨款收入 | 1 | 2,239.93 | 一、一般公共服务支出 | 31 | 2,559.19 |
二、政府性基金预算财政拨款收入 | 2 | 二、外交支出 | 32 | ||
三、国有资本经营预算财政拨款收入 | 3 | 三、国防支出 | 33 | ||
四、上级补助收入 | 4 | 四、公共安全支出 | 34 | ||
五、事业收入 | 5 | 五、教育支出 | 35 | ||
六、经营收入 | 6 | 六、科学技术支出 | 36 | ||
七、附属单位上缴收入 | 7 | 七、文化旅游体育与传媒支出 | 37 | ||
八、其他收入 | 8 | 24.45 | 八、社会保障和就业支出 | 38 | |
9 | 九、卫生健康支出 | 39 | |||
10 | 十、节能环保支出 | 40 | |||
11 | 十一、城乡社区支出 | 41 | |||
12 | 十二、农林水支出 | 42 | |||
13 | 十三、交通运输支出 | 43 | |||
14 | 十四、资源勘探工业信息等支出 | 44 | |||
15 | 十五、商业服务业等支出 | 45 | |||
16 | 十六、金融支出 | 46 | |||
17 | 十七、援助其他地区支出 | 47 | |||
18 | 十八、自然资源海洋气象等支出 | 48 | |||
19 | 十九、住房保障支出 | 49 | |||
20 | 二十、粮油物资储备支出 | 50 | |||
21 | 二十一、国有资本经营预算支出 | 51 | |||
22 | 二十二、灾害防治及应急管理支出 | 52 | |||
23 | 二十三、其他支出 | 53 | |||
24 | 二十四、债务还本支出 | 54 | |||
25 | 二十五、债务付息支出 | 55 | |||
26 | 二十六、抗疫特别国债安排的支出 | 56 | |||
本年收入合计 | 27 | 2,264.38 | 本年支出合计 | 57 | 2,559.19 |
使用非财政拨款结余(含专用结余) | 28 | 结余分配 | 58 | ||
年初结转和结余 | 29 | 596.16 | 年末结转和结余 | 59 | 301.36 |
总计 | 30 | 2,860.54 | 总计 | 60 | 2,860.54 |
注:1.本表反映部门本年度的总收支和年末结转结余情况。 | |||||
2.本套报表金额单位转换时可能存在尾数误差。 | |||||
二、收入决算表
公开02表 | ||
单位:潜江市财政局本级 | 2024年度 | 金额单位:万元 |
项目 | 本年收入合计 | 财政拨款收入 | 上级补助收入 | 事业收入 | 经营收入 | 附属单位上缴收入 | 其他收入 | |
科目代码 | 科目名称 | |||||||
栏次 | 1 | 2 | 3 | 4 | 5 | 6 | 7 | |
合计 | 2,264.38 | 2,239.93 | 24.45 | |||||
201 | 一般公共服务支出 | 2,264.38 | 2,239.93 | 24.45 | ||||
20106 | 财政事务 | 2,264.38 | 2,239.93 | 24.45 | ||||
2010601 | 行政运行 | 1,794.63 | 1,788.39 | 6.24 | ||||
2010602 | 一般行政管理事务 | 392.96 | 374.75 | 18.21 | ||||
2010699 | 其他财政事务支出 | 76.79 | 76.79 | |||||
注:本表反映部门本年度取得的各项收入情况。 | ||||||||
三、支出决算表
公开03表 | ||
单位:潜江市财政局本级 | 2024年度 | 金额单位:万元 |
项目 | 本年支出合计 | 基本支出 | 项目支出 | 上缴上级支出 | 经营支出 | 对附属单位补助支出 | |
科目代码 | 科目名称 | ||||||
栏次 | 1 | 2 | 3 | 4 | 5 | 6 | |
合计 | 2,559.19 | 1,967.15 | 592.03 | ||||
201 | 一般公共服务支出 | 2,559.18 | 1,967.15 | 592.03 | |||
20106 | 财政事务 | 2,559.18 | 1,967.15 | 592.03 | |||
2010601 | 行政运行 | 1,967.15 | 1,967.15 | ||||
2010602 | 一般行政管理事务 | 515.24 | 515.24 | ||||
2010699 | 其他财政事务支出 | 76.79 | 76.79 | ||||
注:本表反映部门本年度各项支出情况。 | |||||||
四、财政拨款收入支出决算总表
公开04表 | ||
单位:潜江市财政局本级 | 2024年度 | 金额单位:万元 |
收 入 | 支 出 | |||||||
项目 | 行次 | 金额 | 项目 | 行次 | 合计 | 一般公共预算财政拨款 | 政府性基金预算财政拨款 | 国有资本经营预算财政拨款 |
栏次 | 1 | 栏次 | 2 | 3 | 4 | 5 | ||
一、一般公共预算财政拨款 | 1 | 2,239.93 | 一、一般公共服务支出 | 33 | 2,332.14 | 2,332.14 | ||
二、政府性基金预算财政拨款 | 2 | 二、外交支出 | 34 | |||||
三、国有资本经营预算财政拨款 | 3 | 三、国防支出 | 35 | |||||
4 | 四、公共安全支出 | 36 | ||||||
5 | 五、教育支出 | 37 | ||||||
6 | 六、科学技术支出 | 38 | ||||||
7 | 七、文化旅游体育与传媒支出 | 39 | ||||||
8 | 八、社会保障和就业支出 | 40 | ||||||
9 | 九、卫生健康支出 | 41 | ||||||
10 | 十、节能环保支出 | 42 | ||||||
11 | 十一、城乡社区支出 | 43 | ||||||
12 | 十二、农林水支出 | 44 | ||||||
13 | 十三、交通运输支出 | 45 | ||||||
14 | 十四、资源勘探工业信息等支出 | 46 | ||||||
15 | 十五、商业服务业等支出 | 47 | ||||||
16 | 十六、金融支出 | 48 | ||||||
17 | 十七、援助其他地区支出 | 49 | ||||||
18 | 十八、自然资源海洋气象等支出 | 50 | ||||||
19 | 十九、住房保障支出 | 51 | ||||||
20 | 二十、粮油物资储备支出 | 52 | ||||||
21 | 二十一、国有资本经营预算支出 | 53 | ||||||
22 | 二十二、灾害防治及应急管理支出 | 54 | ||||||
23 | 二十三、其他支出 | 55 | ||||||
24 | 二十四、债务还本支出 | 56 | ||||||
25 | 二十五、债务付息支出 | 57 | ||||||
26 | 二十六、抗疫特别国债安排的支出 | 58 | ||||||
本年收入合计 | 27 | 2,239.93 | 本年支出合计 | 59 | 2,332.14 | 2,332.14 | ||
年初财政拨款结转和结余 | 28 | 221.24 | 年末财政拨款结转和结余 | 60 | 129.04 | 129.04 | ||
一般公共预算财政拨款 | 29 | 221.24 | 61 | |||||
政府性基金预算财政拨款 | 30 | 62 | ||||||
国有资本经营预算财政拨款 | 31 | 63 | ||||||
总计 | 32 | 2,461.17 | 总计 | 64 | 2,461.17 | 2,461.17 | ||
注:本表反映部门本年度一般公共预算财政拨款、政府性基金预算财政拨款和国有资本经营预算财政拨款的总收支和年末结转结余情况。 | ||||||||
五、一般公共预算财政拨款支出决算表
公开05表 | ||
单位:潜江市财政局本级 | 2024年度 | 金额单位:万元 |
项目 | 本年支出 | |||
科目代码 | 科目名称 | 小计 | 基本支出 | 项目支出 |
栏次 | 1 | 2 | 3 | |
合计 | 2,332.14 | 1,740.10 | 592.03 | |
201 | 一般公共服务支出 | 2,332.13 | 1,740.10 | 592.03 |
20106 | 财政事务 | 2,332.13 | 1,740.10 | 592.03 |
2010601 | 行政运行 | 1,740.10 | 1,740.10 | |
2010602 | 一般行政管理事务 | 515.24 | 515.24 | |
2010699 | 其他财政事务支出 | 76.79 | 76.79 | |
注:本表反映部门本年度一般公共预算财政拨款支出情况。 | ||||
六、一般公共预算财政拨款基本支出决算明细表
公开06表 | ||
单位:潜江市财政局本级 | 2024年度 | 金额单位:万元 |
人员经费 | 公用经费 | |||||||
科目代码 | 科目名称 | 决算数 | 科目代码 | 科目名称 | 决算数 | 科目代码 | 科目名称 | 决算数 |
301 | 工资福利支出 | 1,562.97 | 302 | 商品和服务支出 | 134.05 | 307 | 债务利息及费用支出 | |
30101 | 基本工资 | 353.51 | 30201 | 办公费 | 7.09 | 30701 | 国内债务付息 | |
30102 | 津贴补贴 | 330.71 | 30202 | 印刷费 | 14.08 | 30702 | 国外债务付息 | |
30103 | 奖金 | 31.83 | 30203 | 咨询费 | 310 | 资本性支出 | ||
30106 | 伙食补助费 | 28.68 | 30204 | 手续费 | 31001 | 房屋建筑物购建 | ||
30107 | 绩效工资 | 413.99 | 30205 | 水费 | 31002 | 办公设备购置 | ||
30108 | 机关事业单位基本养老保险缴费 | 137.20 | 30206 | 电费 | 31003 | 专用设备购置 | ||
30109 | 职业年金缴费 | 91.44 | 30207 | 邮电费 | 6.14 | 31005 | 基础设施建设 | |
30110 | 职工基本医疗保险缴费 | 41.04 | 30208 | 取暖费 | 31006 | 大型修缮 | ||
30111 | 公务员医疗补助缴费 | 30209 | 物业管理费 | 24.47 | 31007 | 信息网络及软件购置更新 | ||
30112 | 其他社会保障缴费 | 3.65 | 30211 | 差旅费 | 13.41 | 31008 | 物资储备 | |
30113 | 住房公积金 | 127.67 | 30212 | 因公出国(境)费用 | 5.45 | 31009 | 土地补偿 | |
30114 | 医疗费 | 30213 | 维修(护)费 | 1.00 | 31010 | 安置补助 | ||
30199 | 其他工资福利支出 | 3.24 | 30214 | 租赁费 | 0.06 | 31011 | 地上附着物和青苗补偿 | |
303 | 对个人和家庭的补助 | 43.09 | 30215 | 会议费 | 2.04 | 31012 | 拆迁补偿 | |
30301 | 离休费 | 30216 | 培训费 | 2.86 | 31013 | 公务用车购置 | ||
30302 | 退休费 | 19.33 | 30217 | 公务接待费 | 4.37 | 31019 | 其他交通工具购置 | |
30303 | 退职(役)费 | 30218 | 专用材料费 | 31021 | 文物和陈列品购置 | |||
30304 | 抚恤金 | 22.83 | 30224 | 被装购置费 | 31022 | 无形资产购置 | ||
30305 | 生活补助 | 0.93 | 30225 | 专用燃料费 | 31099 | 其他资本性支出 | ||
30306 | 救济费 | 30226 | 劳务费 | 0.10 | 399 | 其他支出 | ||
30307 | 医疗费补助 | 30227 | 委托业务费 | 39907 | 国家赔偿费用支出 | |||
30308 | 助学金 | 30228 | 工会经费 | 30.00 | 39908 | 对民间非营利组织和群众性自治组织补贴 | ||
30309 | 奖励金 | 30229 | 福利费 | 6.98 | 39909 | 经常性赠与 | ||
30310 | 个人农业生产补贴 | 30231 | 公务用车运行维护费 | 2.28 | 39910 | 资本性赠与 | ||
30311 | 代缴社会保险费 | 30239 | 其他交通费用 | 3.77 | 39999 | 其他支出 | ||
30399 | 其他对个人和家庭的补助 | 30240 | 税金及附加费用 | |||||
30299 | 其他商品和服务支出 | 9.94 | ||||||
人员经费合计 | 1,606.06 | 公用经费合计 | 134.05 | |||||
注:本表反映部门本年度一般公共预算财政拨款基本支出明细情况。 | ||||||||
七、政府性基金预算财政拨款收入支出决算表
公开07表 | ||
单位:潜江市财政局本级 | 2024年度 | 金额单位:万元 |
项目 | 年初结转和结余 | 本年收入 | 本年支出 | 年末结转和结余 | |||
科目代码 | 科目名称 | 小计 | 基本支出 | 项目支出 | |||
栏次 | 1 | 2 | 3 | 4 | 5 | 6 | |
合计 | |||||||
注:本表反映部门本年度政府性基金预算财政拨款收入、支出及结转和结余情况。 | |||||||
本部门2024年度无政府性基金预算财政拨款收入支出。 | |||||||
八、国有资本经营预算财政拨款支出决算表
公开08表 | ||
单位:潜江市财政局本级 | 2024年度 | 金额单位:万元 |
项目 | 本年支出 | |||
科目代码 | 科目名称 | 合计 | 基本支出 | 项目支出 |
栏次 | 1 | 2 | 3 | |
合计 | ||||
注:本表反映部门本年度国有资本经营预算财政拨款支出情况。 | ||||
本部门2024年度无国有资本经营预算财政拨款支出。 | ||||
九、财政拨款“三公”经费支出决算表
公开09表 | ||
单位:潜江市财政局本级 | 2024年度 | 金额单位:万元 |
预算数 | 决算数 | ||||||||||
合计 | 因公出国(境)费 | 公务用车购置及运行维护费 | 公务接待费 | 合计 | 因公出国(境)费 | 公务用车购置及运行维护费 | 公务接待费 | ||||
小计 | 公务用车购置费 | 公务用车运行维护费 | 小计 | 公务用车购置费 | 公务用车运行维护费 | ||||||
1 | 2 | 3 | 4 | 5 | 6 | 7 | 8 | 9 | 10 | 11 | 12 |
24.45 | 5.45 | 6.00 | 6.00 | 13.00 | 12.89 | 5.45 | 2.29 | 2.29 | 5.16 | ||
注:本表反映部门本年度财政拨款“三公”经费支出预决算情况。其中,预算数为“三公”经费全年预算数,反映按规定程序调整后的预算数;决算数是包括当年财政拨款和以前年度结转资金安排的实际支出。 | |||||||||||
第三部分 2024年度部门决算情况说明
一、收入支出决算总体情况说明
2024年度收、支总计均为2860.54万元。与2023年度相比,收、支总计减少407.77万元,下降12.5%,主要原因是2023年度补发退休人员绩效奖励工资等。
图1:收、支决算总计变动情况

二、收入决算情况说明
2024年度收入合计2264.38万元,与2023年度相比,收入合计减少361.57万元,下降13.8%。其中:财政拨款收入2239.93万元,占本年收入98.9%;上级补助收入0.00万元,占本年收入0.0%;事业收入0.00万元,占本年收入0.0%;经营收入0.00万元,占本年收入0.0%;附属单位上缴收入0.00万元,占本年收入0.0%;其他收入24.45万元,占本年收入1.1%。
图2:收入决算结构

三、支出决算情况说明
2024年度支出合计2559.19万元,与2023年度相比,支出合计减少112.96万元,下降4.2%。其中:基本支出1967.15万元,占本年支出76.9%;项目支出592.03万元,占本年支出23.1%;上缴上级支出0.00万元,占本年支出0.0%;经营支出0.00万元,占本年支出0.0%;对附属单位补助支出0.00万元,占本年支出0.0%。
图3:支出决算结构

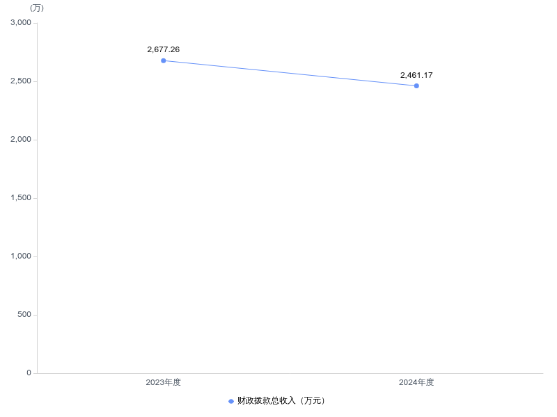
四、财政拨款收入支出决算总体情况说明
2024年度财政拨款收、支总计均为2461.17万元。与2023年度相比,财政拨款收、支总计各减少216.09万元,下降8.1%。主要原因是2023年度补发退休人员绩效奖励工资等。
2024年度财政拨款收入中,一般公共预算财政拨款收入2239.93万元,比2023年度决算数减少274.59万元,减少主要原因是2023年度补发退休人员绩效奖励工资等。政府性基金预算财政拨款收入0.00万元,与2023年度决算数持平,持平主要原因是我单位当年无政府性基金预算。国有资本经营预算财政拨款收入0.00万元,与2023年度决算数持平,持平主要原因是我单位当年无国有资本经营预算。
图4:财政拨款收、支决算总计变动情况

五、一般公共预算财政拨款支出决算情况说明
(一)一般公共预算财政拨款支出决算总体情况。
2024年度一般公共预算财政拨款支出2332.14万元,占本年支出合计的91.1%。与2023年度相比,一般公共预算财政拨款支出减少123.88万元,下降5.0%,主要原因是2023年度补发退休人员绩效奖励工资等。
(二)一般公共预算财政拨款支出决算结构情况。
2024年度一般公共预算财政拨款支出2332.14万元,主要用于以下方面:
一般公共服务支出类支出2332.13万元,占99.99%。主要是用于财政事务方面的支出。
(三)一般公共预算财政拨款支出决算具体情况。
2024年度一般公共预算财政拨款支出年初预算为2095.53万元,支出决算为2332.14万元,完成年初预算的111.3%。其中:
1.一般公共服务支出具体包括:
(1)一般公共服务支出(类)财政事务(款)行政运行(项)年初预算为1574.31万元,支出决算为1740.10万元,完成年初预算的110.5%。
(2)一般公共服务支出(类)财政事务(款)一般行政管理事务(项)年初预算为445.22万元,支出决算为515.24万元,完成年初预算的115.7%。
(3)一般公共服务支出(类)财政事务(款)其他财政事务支出(项)年初预算为76万元,支出决算为76.79万元,完成年初预算的101.1%。
六、一般公共预算财政拨款基本支出决算情况说明
2024年度一般公共预算财政拨款基本支出1740.11万元,其中:
人员经费1606.06万元,主要包括:基本工资、津贴补贴、奖金、伙食补助费、绩效工资、机关事业单位基本养老保险缴费、职业年金缴费、职工基本医疗保险缴费、公务员医疗补助缴费、其他社会保障缴费、住房公积金、医疗费、其他工资福利支出、离休费、退休费、退职(役)费、抚恤金、生活补助、救济费、医疗费补助、助学金、奖励金、个人农业生产补贴、代缴社会保险费、其他对个人和家庭的补助。
公用经费134.05万元,主要包括:办公费、印刷费、咨询费、手续费、水费、电费、邮电费、取暖费、物业管理费、差旅费、因公出国(境)费用、维修(护)费、租赁费、会议费、培训费、公务接待费、专用材料费、被装购置费、专用燃料费、劳务费、委托业务费、工会经费、福利费、公务用车运行维护费、其他交通费用、税金及附加费用、其他商品和服务支出、办公设备购置、专用设备购置、信息网络及软件购置更新、公务用车购置、其他资本性支出。
七、政府性基金预算财政拨款收入支出决算情况说明
本部门2024年度无政府性基金预算财政拨款支出。
八、国有资本经营预算财政拨款支出决算情况说明
本单位2024年度无国有资本经营预算财政拨款支出。
九、财政拨款“三公”经费支出决算情况说明
(一)“三公”经费财政拨款支出决算总体情况说明
2024年度“三公”经费财政拨款支出全年预算为24.45万元,支出决算为12.89万元,完成全年预算的52.7%。较上年增加5.53万元,增长75.1%,决算数小于全年预算数的主要原因是严格控制“三公”经费支出,加强内部控制管理,压缩开支。决算数较上年增加的主要原因是2024年根据市委、市政府统一安排因公赴新加坡、日本、韩国开展城市建设领域交流和经贸招商活动。
(二)“三公”经费财政拨款支出决算具体情况说明。
1.因公出国(境)费全年预算为5.45万元,支出决算为5.45万元,完成全年预算的100.0%。较上年增加5.45万元。决算数较上年增加的主要原因是根据市委、市政府统一安排因公赴新加坡、日本、韩国开展城市建设领域交流和经贸招商活动。
全年支出涉及出国(境)团组0个,累计1人次,主要用于开展以下工作:赴新加坡、日本、韩国开展城市建设领域交流和经贸招商活动。
2.公务用车购置及运行费全年预算为6.00万元,支出决算为2.29万元,完成全年预算的38.2%;较上年减少1.84万元,下降44.6%。决算数小于全年预算数的主要原因:严格控制“三公”经费支出,加强内部控制管理,压缩开支。决算数较上年减少的主要原因:2023年底购置公车。其中:
(1)公务用车购置费支出0.00万元。本年度购置(更新)公务用车0辆。
(2)公务用车运行费支出2.29万元,主要用于开展财政工作所需的车燃油费、维修费、保险费、过路费等方面支出。截至2024年12月31日,开支财政拨款的公务用车保有量为2辆(其中一辆旧车因年度久远,存在安全隐患已上交,尚未处置)。
3.公务接待费全年预算为13.00万元,支出决算为5.16万元(含招商支出2.47万元),完成全年预算的39.7%。决算数小于全年预算数的主要原因是严格控制“三公”经费支出,加强内部控制管理,压缩开支。其中:
外宾接待支出0.00万元。2024年共接待来访团组0个,0人次(不包括陪同人员)。
国内公务接待支出5.16万元,接待对象主要是用于与省内兄弟单位交流工作情况和接受上级及相关部门检查指导工作及招商等方面的接待活动等工作。2024年共接待国内来访团组60个,574人次(不包括陪同人员)。
十、机关运行经费支出说明
本部门2024年度机关运行经费支出134.05万元,比年初预算数减少0.95万元,下降0.7%;比上年决算数增加48.93万元,增长57.5%。主要原因是2024年退休人员工会福利待遇支出由工会转行政支付。
十一、政府采购支出说明
本部门2024年度政府采购支出总额293.29万元,其中:政府采购货物支出16.53万元、政府采购工程支出0.00万元、政府采购服务支出276.76万元。授予中小企业合同金额0.00万元,占政府采购支出总额的0.0%,其中:授予小微企业合同金额0.00万元,占授予中小企业合同金额的0.00%;货物采购授予中小企业合同金额占货物支出金额的XX%,工程采购授予中小企业合同金额占工程支出金额的XX%,服务采购授予中小企业合同金额占服务支出金额的XX%。
十二、国有资产占用情况说明
截至2024年12月31日,潜江市财政局本级共有车辆2辆,其中,副省级及以上领导干部用车0辆、主要负责人用车0辆、机要通信用车0辆、应急保障用车2辆、执法执勤用车0辆、特种专业技术用车0辆、离退休干部服务用车0辆、其他用车0辆,;单位价值100万元以上设备0台(套)。
十三、预算绩效情况说明
(一)预算绩效管理工作开展情况。
根据预算绩效管理要求,本部门组织对2024年度一般公共预算项目支出全面开展绩效自评,共涉及项目2个,资金592.03万元,占一般公共预算项目支出总额的100%。从评价情况来看,2024年财政部门支出绩效评价整体情况较好,在执行管理和支出绩效方面,资金使用较为规范;项目实施取得了一定的经济和社会效益,为全市经济发展发挥了积极促进作用。
组织开展部门整体绩效评价,评价情况来看,2024年财政部门支出绩效评价整体情况较好,在执行管理和支出绩效方面,资金使用较为规范;项目实施取得了一定的经济和社会效益,为全市经济发展发挥了积极促进作用。
(二)部门决算中项目绩效自评结果。
本部门今年在部门决算中反映所有项目绩效自评结果(涉密项目除外)。
财政事务综合管理项目绩效自评综述:项目全年预算数为521.22万元,执行数为592.03万元,完成预算113.5%。主要产出和效益:一是保障部门工作正常开展;二是深化财政改革,加快建立现代财政制度;三是通过预算绩效管理体系,实现预算和绩效管理一体化,提高资金使用效益。发现的问题及原因:一是进一步细化预算编制工作;二是加强财务管理,提高资金使用效益,三是加强单位内部控制制度建设,确保一般公共财政性绩效目标的顺利完成。下一步改进措施:一是一是进一步强化预算管理。严格执行年初预算,严禁超预算或者无预算安排支出;二是严格执行政府预算会计制度,加强财务人员培训,按会计制度办事;加强项目的财务核算和财务监督。
一体化项目绩效自评综述:项目全年预算数为215万元,执行数为215万元,完成预算100%。主要产出和效益:一是保障部门工作正常开展;二是加快财政电子化制度建立;实现预算和绩效管理一体化。发现的问题及原因:一是人员业务技能有待提高;二是系统运行要更加精简。下一步改进措施是加强人员培训,进一步提高工作效率。
(三)绩效评价结果应用情况。
部门绩效评价结果应用情况。一是细化预算编制工作,认真做好预算编制。根据业务开展需要,严格按照制度和要求编制部门预算,优先保证固定性的,相对刚性的费用支出项目,尽量压缩变动性的费用项目,进一步提高预算编制的科学性,严谨性和可控性,切实提高资金的使用效率。二是加强财务管理,严格财务审核。在费用报账支付时,按照预算规定的费用项目和用途及功能性科目进行资金使用审核、列报支付、财务核算,杜绝超支现象的发生。三是持续抓好“三公”经费控制管理。严格控制“三公”经费的规模和比例,把关“三公”经费支出的审核、审批,杜绝挪用和挤占其他预算资金行为;进一步细化“三公”经费的管理,合理压缩“三公”经费支出。四是加强单位内部控制制度建设,确保一般公共财政性绩效目标的顺利完成。
部门绩效评价结果拟应用情况。一是进一步强化预算管理。严格执行年初预算,严禁超预算或者无预算安排支出。加大公用执行经费的预算力度,重大支出项目做到有计划、有监督、有评估,做到支出有据可依,确保预算、决算、指标、报表的一致性。二是严格执行行政事业单位会计制度,加强财务人员培训,按会计制度办事;加强项目的财务核算和财务监督。
财政专项支出、专项转移支付支出的部门(单位)参照部门预算公开的范围、体例和内容进行公开。
本单位无财政专项支出、专项转移支付支出。
其他需要说明的情况
无其他需要说明的情况。
第五部分 名词解释
(一)一般公共预算财政拨款收入:指市级财政一般公共预算当年拨付的资金。
(二)政府性基金预算财政拨款收入:指市级财政政府性基金预算当年拨付的资金。
(三)国有资本经营预算财政拨款收入:指市级财政国有资本经营预算当年拨付的资金。
(四)上级补助收入:指从事业单位主管部门和上级单位取得的非财政补助收入。
(五)事业收入:指事业单位开展专业业务活动及其辅助活动取得的收入。
(六)经营收入:指事业单位在专业业务活动及其辅助活动之外开展非独立核算经营活动取得的收入。
(七)其他收入:指单位取得的除上述“一般公共预算财政拨款收入”、“政府性基金预算财政拨款收入”、“国有资本经营预算财政拨款收入”、“上级补助收入”、“事业收入”、“经营收入”等收入以外的各项收入。
(八)使用非财政拨款结余:指事业单位使用以前年度积累的非财政拨款结余弥补当年收支差额的金额。
(九)年初结转和结余:指单位以前年度尚未完成、结转到本年仍按原规定用途继续使用的资金,或项目已完成等产生的结余资金。
(十)本部门使用的支出功能分类科目(到项级)
1.一般公共服务(类)财政事务(款)行政运行(项)。反映行政单位(包括实行公务员管理的事业单位)的基本支出。
2.一般公共服务(类)财政事务(款)其他财政事务支出经费(项)。反映财政部门用于财政其他财政事务支出方面的支出。
(十一)结余分配:指事业单位按照会计制度规定缴纳的企业所得税、提取的专用结余以及转入非财政拨款结余的金额等。
(十二)年末结转和结余:指单位按有关规定结转到下年或以后年度继续使用的资金,或项目已完成等产生的结余资金。
(十三)基本支出:指为保障机构正常运转、完成日常工作任务而发生的人员支出和公用支出。
(十四)项目支出:指在基本支出之外为完成特定行政任务或事业发展目标所发生的支出。
(十五)经营支出:指事业单位在专业活动及辅助活动之外开展非独立核算经营活动发生的支出。
(十六)“三公”经费:纳入财政一般公共预算管理的“三公”经费,是指市直部门用一般公共预算财政拨款安排的因公出国(境)费、公务用车购置及运行费和公务接待费。其中,因公出国(境)费反映单位公务出国(境)的国际旅费、国外城市间交通费、住宿费、伙食费、培训费、公杂费等支出;公务用车购置及运行费反映单位公务用车购置支出(含车辆购置税、牌照费)及燃料费、维修费、过桥过路费、保险费、安全奖励费用等支出;公务接待费反映单位按规定开支的各类公务接待(含外宾接待)费用。
(十七)机关运行经费:指为保障行政单位(包括参照公务员法管理的事业单位)运行用于购买货物和服务的各项资金,包括办公费、印刷费、邮电费、差旅费、会议费、福利费、日常维修费、专用材料及一般设备购置费、办公用房水电费、办公用房取暖费、办公用房物业管理费、公务用车运行维护费以及其他费用。
(十八)其他专用名词。
无
第六部分 附件
一、2024年度潜江市财政局整体绩效评价自评表
单位名称 | 潜江市财政局 | ||||||||
基本支出总额 | 1738.98万元 | 项目支出总额 | 820.2万元 | ||||||
预算执行情况(万元) (20分) | 预算数(A) | 执行数(B) | 执行率(B/A) | 得分 (20分*执行率) | |||||
部门整体支出总额 | 2602.29 | 2559.18 | 98.34% | 19.7分 | |||||
年度目标1:(30分) | 落实基本支出经费,保障部门工作正常开展 | ||||||||
年度绩效指标 | 一级指标 | 二级指标 | 三级指标 | 年初目标值(A) | 实际完成值(B) | 得分 | |||
成本指标 | 经济成本指标 | 部门整体支出总额 | 2602.29万元 | 2559.18万元 | 4.9 | ||||
产出指标 | 数量指标 | 经费保障人员 | 85人 | 85人 | 5 | ||||
时效指标 | 支付进度率 | 6月≧50%;9月≧75%;12月=100% | 6月≧50%;9月≧75%;12月=100% | 5 | |||||
质量指标 | 各项职能工作正常运转保障率 | 100% | 100% | 5 | |||||
社会效益指标 | 保障机构工作正常运转 | 保障 | 保障 | 5 | |||||
满意度指标 | 服务对象满意度指标 | 服务对象满意度 | 95% | 95% | 5 | ||||
年度绩效目标2:(25分) | 加快建立现代财政制度,深化财政改革,加强财政监督,提升财政管理绩效; | ||||||||
年度绩效指标 | 一级指标 | 二级指标 | 三级指标 | 年初目标值(A) | 实际完成值(B) | 得分 | |||
产出指标 | 数量 指标 | 开展专项检查次数 | 3次 | 3次 | 3 | ||||
数量 指标 | 电子化信息系统 | 250天 | 250天 | 3 | |||||
数量 指标 | 开展各类业务培训 | ≧3次 | 5次 | 3 | |||||
年度绩效指标 | 产出指标 | 时效指标 | 财政资金拨付及时率 | 100% | 100% | 3 | |||
质量 指标 | 财政监督检查完成率 | 100% | 100% | 3 | |||||
满意度指标 | 社会公众满意度 | 100% | 100% | 3 | |||||
效益 指标 | 社会效益 指标 | 提升财政资金使用效益 | 提升 | 提升 | 3 | ||||
满意度指标 | 满意度指标 | 社会公众满意度 | ≧90% | ≧90% | 4 | ||||
年度绩效目标3:(25分) | 通过预算绩效管理体系,实现预算和绩效管理一体化,提高财政资源配置效率和使用效益。 | ||||||||
年度绩效指标 | 一级指标 | 二级指标 | 三级指标 | 年初目标值(A) | 实际完成值(B) | 得分 | |||
产出 指标 | 数量 指标 | 一体化信息系统维护更新次数 | ≧1次 | 3次 | 5 | ||||
数量 指标 | 数量 指标 | 项目绩效目标审核数 | 与部门预算项目数相同 | 与部门预算项目数相同 | 3 | ||||
时效指标 | 时效指标 | 绩效目标评审完成及时率 | 100% | 100% | 5 | ||||
质量 指标 | 质量 指标 | 信息系统运行故障率 | ≤3% | ≤3% | 3 | ||||
效益 指标 | 社会效益 指标 | 绩效目标审核结果应用率 | ≧95% | ≧95% | 5 | ||||
满意度指标 | 满意度指标 | 社会公众满意度 | ≧90% | ≧90% | 4 | ||||
总分 | 99.6 | ||||||||
偏差大或 目标未完成 原因分析 | |||||||||
改进措施及 结果应用方案 | 一是需要根据实际情况修改更为科学的绩效目标。二是资金使用范围应进一步规范。 | ||||||||
备注:
1.预算执行情况口径:预算数为调整后财政资金总额(包括上年结余结转),执行数为资金使用单位财政资金实际支出数。
2.定量指标完成数汇总原则:绝对值直接累加计算,相对值按照资金额度加权平均计算。定量指标计分原则:正向指标(即目标值为≥X,得分=权重*B/A),反向指标(即目标值为≤X,得分=权重*A/B),得分不得突破权重总额。定量指标先汇总完成数,再计算得分。
3.定性指标计分原则:达成预期指标、部分达成预期指标并具有一定效果、未达成预期指标且效果较差三档,分别按照该指标对应分值区间100-80%(含80%)、80-50%(含50%)、50-0%合理确定分值。汇总时,以资金额度为权重,对分值进行加权平均计算。
4.基于经济性和必要性等因素考虑,满意度指标暂可不作为必评指标。
二、2024年度综合管理经费项目绩效评价自评表
项目名称 | 潜江市财政局财政事务综合管理经费 | 资金总额 | 656.22万元 | 实施单位 | 潜江市财政局 | ||||
项目资金(8分) | 年初预算数(A) | 全年执行数(B) | 分值 | 执行率(B÷A) | 自评分(每增减5%扣1分,扣完为止) | 考评评分 | |||
当年本级财政资金总额 | 656.22万元 | 656.22万元 | 8 | 100% | 8 | ||||
绩效指标(80分) | 一级指标 | 二级指标 | 三级指标 | 分值 | 年初指标值(A) | 实际完成值(B) | 完成率(B÷A) | 自评分 | 考评评分 |
成本指标(8分) | 经济成本指标(8分) | 项目总成本 | 8 | ≦656.22万元 | 656.22万元 | 100% | 8 | ||
产出指标(40分) | 数量指标(3分) | 电子化信息系统 | 3 | ≧250天 | ≧250天 | 100% | 3 | ||
数量指标(3分) | 设备日常巡检次数 | 3 | ≧12次 | 12次 | 100% | 3 | |||
数量指标(2分) | 绩效目标审核及时率 | 2 | 100% | 100% | 100% | 2 | |||
数量指标(2分) | 民生支出占财政支出比重 | 2 | 80% | 80% | 100% | 2 | |||
数量指标(2分) | 开展专项检查次数 | 2 | ≧3次 | 3次 | 100% | 2 | |||
数量指标(3分) | 财政各类业务培训 | 3 | 4次 | 4次 | 100% | 3 | |||
数量指标(3分) | 《潜江财会》编印期数 | 3 | 4期 | 4期 | 100% | 3 | |||
数量指标(2分) | 惠农资金宣传次数 | 2 | 2次 | 2次 | 100% | 2 | |||
质量指标(2分) | 绩效评价结果应用率 | 2 | 100% | 100% | 100% | 2 | |||
质量指标(2分) | 系财政信息统正常运行率 | 2 | 100% | 100% | 100% | 2 | |||
质量指标(2分) | 经费使用合规率 | 2 | 100% | 100% | 100% | 2 | |||
质量指标(1分) | 工作履职达预期 | 1 | 100% | 100% | 100% | 1 | |||
质量指标(1分) | 档案管理工作质量达标率 | 1 | 100% | 100% | 100% | 1 | |||
质量指标(2分) | 财政监督检查完成率 | 2 | 100% | 100% | 100% | 2 | |||
时效指标(2分) | 信息系统维护、更新及时性 | 2 | 根据需要随时维护、更新一次 | 根据需要随时维护、更新一次 | 100% | 2 | |||
时效指标(2分) | 财政培训完成及时率 | 2 | 100% | 100% | 100% | 2 | |||
时效指标(2分) | 财政资金拨付及时率 | 2 | 100% | 100% | 100% | 2 | |||
时效指标(2分) | 财政收入完成进度率 | 2 | 100% | 100% | 100% | 2 | |||
时效指标(2分) | 绩效评价完成及时率 | 2 | 100% | 100% | 100% | 2 | |||
效益指标(30分) | 社会效益(8分) | 财政信息化系统正常运行保障度 | 8 | 保障 | 保障 | 100% | 8 | ||
社会效益(8分) | 推动财政预算改革 | 8 | 推动 | 推动 | 100% | 8 | |||
社会效益(8分) | 提升财政资金使用效益 | 8 | 提升 | 提升 | 100% | 8 | |||
社会效益(6分) | 创新财政服务方式提升财政管理水平 | 6 | 符合 | 符合 | 100% | 6 | |||
满意度指标(2分) | 服务对象满意度(2分) | 服务对象满意度 | 2 | ≧90% | ≧90% | 100% | 2 | ||
绩效报告或绩效评价报告(12分) | 报告上报时间(4分) | 分值 | 自评分 | 考评 | |||||
按时上报 | 未按时上报 | 未上报 | |||||||
4分 | 2分 | 0分 | 4分 | ||||||
报告质量(8分) | 分值 | 自评分 | 考评评分 | ||||||
格式规范 | 内容完整 | 佐证资料齐全 | |||||||
2分 | 2分 | 4分 | 7分 | ||||||
合计 | 99分 | ||||||||
注:1.绩效指标若为定性指标(指不能用数量指标来确定的),全年实现值分为:达到预期指标(1档),部分达到预期指标并具有一定效果(2档),未达到预期指标且效果较差(3档),分别按100%,70%,0%计算得分。 | |||||||||
2.无法设置或者不需要设置质量指标、效益指标的,可按满分计算得分,需要设置且可以设置而没有设置的不得分。 | |||||||||
三、2024年度财政一体化建设项目绩效评价自评表
项目名称 | 财政一体化建设 | 资金总额 | 215万元 | 实施单位 | 潜江市财政局 | ||||
项目资金(8分) | 年初预算数(A) | 全年执行数(B) | 分值 | 执行率(B÷A) | 自评分(每增减5%扣1分,扣完为止) | 考评评分 | |||
当年本级财政资金总额 | 215万元 | 215万元 | 8分 | 100% | 8分 | ||||
绩效指标(80分) | 一级指标 | 二级指标 | 三级指标 | 分值 | 年初指标值(A) | 实际完成 值(B) | 完成率(B÷A) | 自评分 | 考评评分 |
成本指标(8分) | 经济成本指标(8分) | 项目总成本 | 8 | ≦215万元 | ≦215万元 | 100% | 8 | ||
产出指标(40分) | 数量指标(6分) | 设备购置完成率 | 6 | 100% | 100% | 100% | 6 | ||
数量指标(6分) | 财政一体化信息系统 | 6 | ≧250天 | ≧250天 | 100% | 6 | |||
数量指标(8分) | 政府采购完成率 | 8 | 100% | 100% | 100% | 8 | |||
质量指标(3分) | 设备运行稳定率 | 3 | 100% | 100% | 100% | 3 | |||
质量指标(3分) | 设备购置合格率 | 3 | 100% | 100% | 100% | 3 | |||
质量指标(4分) | 经费使用合格率 | 4 | 100% | 100% | 100% | 4 | |||
时效指标(5分) | 工作完成及时率 | 5 | 100% | 100% | 100% | 5 | |||
时效指标(5分) | 一体化系统运行维护及时率 | 5 | 100% | 100% | 100% | 5 | |||
效益指标(30分) | 社会效益(15分) | 财政信息化系统正常运行保障度 | 15 | 保障 | 100% | 100% | 15 | ||
社会效益(15分) | 创新财政服务方式提升财政管理水平 | 15 | 符合 | 100% | 100% | 15 | |||
满意度指标(2分) | 服务对象满意度(2分) | 服务对象满意度 | 2 | ≧90% | 100% | 100% | 2 | ||
绩效报告或绩效评价报告(12分) | 报告上报时间(4分) | 分值 | 自评分 | 考评 | |||||
按时上报 | 未按时上报 | 未上报 | |||||||
4分 | 2分 | 0分 | 4分 | ||||||
报告质量(8分) | 分值 | 自评分 | 考评评分 | ||||||
格式规范 | 内容完整 | 佐证资料齐全 | |||||||
2分 | 2分 | 4分 | 7分 | ||||||
合计 | 99分 | ||||||||
扫一扫在手机上查看当前页面