潜江市民政局(汇总)
2024年度部门决算
目 录
第一部分 潜江市民政局(汇总)概况
一、部门主要职责
二、机构设置情况
第二部分 潜江市民政局(汇总)2024年度部门决算表
一、收入支出决算总表
二、收入决算表
三、支出决算表
四、财政拨款收入支出决算总表
五、一般公共预算财政拨款支出决算表
六、一般公共预算财政拨款基本支出决算明细表
七、政府性基金预算财政拨款收入支出决算表
八、国有资本经营预算财政拨款支出决算表
九、财政拨款“三公”经费支出决算表
第三部分 潜江市民政局(汇总)2024年度部门决算情况说明
一、收入支出决算总体情况说明
二、收入决算情况说明
三、支出决算情况说明
四、财政拨款收入支出决算总体情况说明
五、一般公共预算财政拨款支出决算情况说明
六、一般公共预算财政拨款基本支出决算情况说明
七、政府性基金预算财政拨款收入支出决算情况说明
八、国有资本经营预算财政拨款支出决算情况说明
九、财政拨款“三公”经费支出决算情况说明
十、机关运行经费支出说明
十一、政府采购支出说明
十二、国有资产占用情况说明
十三、预算绩效情况说明
十四、专项支出、转移支付支出情况说明
第四部分其他需要说明的情况
第五部分 名词解释
第六部分 附件
第一部分 潜江市民政局(汇总)概况
一、部门主要职责
潜江市民政局作为市政府管理有关社会行政事务的重要职能部门,担负着维护和保障人民群众基本生活权益的基本职能,承担着全市城乡居民最低生活保障、农村五保供养、城市生活无着的流浪乞讨人员救助管理、老龄工作、养老服务、社会福利、社会组织管理、行政区划地名管理、婚姻登记、社会收养和殡葬改革、慈善募捐发行等工作。
二、机构设置情况
从单位构成看,潜江市民政局(汇总)部门决算由实行独立核算的潜江市民政局本级决算和6个下属单位决算组成。
纳入潜江市民政局(汇总)2024年度部门决算编制范围的二级预算单位包括:
1.潜江市民政局(本级)
2.潜江市社会福利院
3.潜江市休干管理所
4.潜江市社会救助局
5.潜江市救助管理站
6.潜江市殡葬管理所
7.潜江市民政局婚姻登记处
第二部分 2024年度部门决算表
一、收入支出决算总表
公开01表 | ||
部门:潜江市民政局(汇总) | 2024年度 | 金额单位:万元 |
收入 | 支出 | ||||
项目 | 行次 | 金额 | 项目 | 行次 | 金额 |
栏次 | 1 | 栏次 | 2 | ||
一、一般公共预算财政拨款收入 | 1 | 26,652.41 | 一、一般公共服务支出 | 31 | |
二、政府性基金预算财政拨款收入 | 2 | 8,982.84 | 二、外交支出 | 32 | |
三、国有资本经营预算财政拨款收入 | 3 | 三、国防支出 | 33 | ||
四、上级补助收入 | 4 | 四、公共安全支出 | 34 | ||
五、事业收入 | 5 | 五、教育支出 | 35 | ||
六、经营收入 | 6 | 六、科学技术支出 | 36 | ||
七、附属单位上缴收入 | 7 | 七、文化旅游体育与传媒支出 | 37 | ||
八、其他收入 | 8 | 690.48 | 八、社会保障和就业支出 | 38 | 26,053.37 |
9 | 九、卫生健康支出 | 39 | 1,986.29 | ||
10 | 十、节能环保支出 | 40 | |||
11 | 十一、城乡社区支出 | 41 | 800.00 | ||
12 | 十二、农林水支出 | 42 | |||
13 | 十三、交通运输支出 | 43 | |||
14 | 十四、资源勘探工业信息等支出 | 44 | |||
15 | 十五、商业服务业等支出 | 45 | |||
16 | 十六、金融支出 | 46 | |||
17 | 十七、援助其他地区支出 | 47 | |||
18 | 十八、自然资源海洋气象等支出 | 48 | |||
19 | 十九、住房保障支出 | 49 | 101.71 | ||
20 | 二十、粮油物资储备支出 | 50 | |||
21 | 二十一、国有资本经营预算支出 | 51 | |||
22 | 二十二、灾害防治及应急管理支出 | 52 | |||
23 | 二十三、其他支出 | 53 | 8,182.84 | ||
24 | 二十四、债务还本支出 | 54 | |||
25 | 二十五、债务付息支出 | 55 | |||
26 | 二十六、抗疫特别国债安排的支出 | 56 | |||
本年收入合计 | 27 | 36,325.73 | 本年支出合计 | 57 | 37,124.21 |
使用非财政拨款结余(含专用结余) | 28 | 70.19 | 结余分配 | 58 | |
年初结转和结余 | 29 | 1,127.76 | 年末结转和结余 | 59 | 399.47 |
总计 | 30 | 37,523.68 | 总计 | 60 | 37,523.68 |
注:1.本表反映部门本年度的总收支和年末结转结余情况。 | |||||
2.本套报表金额单位转换时可能存在尾数误差。 | |||||
收入决算表
公开02表 | ||
部门:潜江市民政局(汇总) | 2024年度 | 金额单位:万元 |
项目 | 本年收入合计 | 财政拨款收入 | 上级补助收入 | 事业收入 | 经营收入 | 附属单位上缴收入 | 其他收入 | |
科目代码 | 科目名称 | |||||||
栏次 | 1 | 2 | 3 | 4 | 5 | 6 | 7 | |
合计 | 36,325.73 | 35,635.25 | 690.48 | |||||
208 | 社会保障和就业支出 | 25,255.18 | 24,568.08 | 687.10 | ||||
20802 | 民政管理事务 | 2,286.63 | 2,219.55 | 67.08 | ||||
2080201 | 行政运行 | 600.18 | 563.87 | 36.31 | ||||
2080206 | 社会组织管理 | 44.84 | 44.84 | |||||
2080207 | 行政区划和地名管理 | 20.61 | 20.61 | |||||
2080208 | 基层政权建设和社区治理 | 155.48 | 155.48 | |||||
2080299 | 其他民政管理事务支出 | 1,465.52 | 1,434.75 | 30.77 | ||||
20805 | 行政事业单位养老支出 | 213.24 | 202.89 | 10.35 | ||||
2080505 | 机关事业单位基本养老保险缴费支出 | 113.10 | 111.33 | 1.77 | ||||
2080506 | 机关事业单位职业年金缴费支出 | 100.14 | 91.56 | 8.58 | ||||
20808 | 抚恤 | 3.75 | 3.75 | |||||
2080801 | 死亡抚恤 | 3.75 | 3.75 | |||||
20810 | 社会福利 | 5,851.62 | 5,243.01 | 608.61 | ||||
2081001 | 儿童福利 | 388.91 | 388.91 | |||||
2081002 | 老年福利 | 1,472.28 | 1,165.85 | 306.43 | ||||
2081004 | 殡葬 | 1,088.97 | 1,088.97 | |||||
2081005 | 社会福利事业单位 | 2,661.07 | 2,358.89 | 302.18 | ||||
2081006 | 养老服务 | 240.39 | 240.39 | |||||
20819 | 最低生活保障 | 12,481.99 | 12,481.99 | |||||
2081901 | 城市最低生活保障金支出 | 2,587.16 | 2,587.16 | |||||
2081902 | 农村最低生活保障金支出 | 9,894.83 | 9,894.83 | |||||
20820 | 临时救助 | 1,243.53 | 1,242.47 | 1.06 | ||||
2082001 | 临时救助支出 | 1,144.07 | 1,144.07 | |||||
2082002 | 流浪乞讨人员救助支出 | 99.46 | 98.40 | 1.06 | ||||
20821 | 特困人员救助供养 | 3,148.97 | 3,148.97 | |||||
2082101 | 城市特困人员救助供养支出 | 265.07 | 265.07 | |||||
2082102 | 农村特困人员救助供养支出 | 2,883.90 | 2,883.90 | |||||
20825 | 其他生活救助 | 25.45 | 25.45 | |||||
2082501 | 其他城市生活救助 | 25.45 | 25.45 | |||||
210 | 卫生健康支出 | 1,985.98 | 1,985.98 | |||||
21011 | 行政事业单位医疗 | 35.58 | 35.58 | |||||
2101101 | 行政单位医疗 | 17.24 | 17.24 | |||||
2101102 | 事业单位医疗 | 18.34 | 18.34 | |||||
21014 | 优抚对象医疗 | 1,950.40 | 1,950.40 | |||||
2101401 | 优抚对象医疗补助 | 1,950.40 | 1,950.40 | |||||
212 | 城乡社区支出 | 800.00 | 800.00 | |||||
21208 | 国有土地使用权出让收入安排的支出 | 800.00 | 800.00 | |||||
2120899 | 其他国有土地使用权出让收入安排的支出 | 800.00 | 800.00 | |||||
221 | 住房保障支出 | 101.71 | 98.34 | 3.37 | ||||
22102 | 住房改革支出 | 101.71 | 98.34 | 3.37 | ||||
2210201 | 住房公积金 | 101.71 | 98.34 | 3.37 | ||||
229 | 其他支出 | 8,182.83 | 8,182.83 | |||||
22904 | 其他政府性基金及对应专项债务收入安排的支出 | 7,384.06 | 7,384.06 | |||||
2290403 | 其他政府性基金债务收入安排的支出 | 7,384.06 | 7,384.06 | |||||
22960 | 彩票公益金安排的支出 | 798.77 | 798.77 | |||||
2296002 | 用于社会福利的彩票公益金支出 | 724.42 | 724.42 | |||||
2296099 | 用于其他社会公益事业的彩票公益金支出 | 74.35 | 74.35 | |||||
注:本表反映部门本年度取得的各项收入情况。 | ||||||||
支出决算表
公开03表 | ||
部门:潜江市民政局(汇总) | 2024年度 | 金额单位:万元 |
项目 | 本年支出合计 | 基本支出 | 项目支出 | 上缴上级支出 | 经营支出 | 对附属单位补助支出 | |
科目代码 | 科目名称 | ||||||
栏次 | 1 | 2 | 3 | 4 | 5 | 6 | |
合计 | 37,124.21 | 3,920.62 | 33,203.58 | ||||
208 | 社会保障和就业支出 | 26,053.37 | 3,783.03 | 22,270.34 | |||
20802 | 民政管理事务 | 2,552.93 | 1,167.45 | 1,385.48 | |||
2080201 | 行政运行 | 628.68 | 628.68 | ||||
2080206 | 社会组织管理 | 44.84 | 44.84 | ||||
2080207 | 行政区划和地名管理 | 20.61 | 20.61 | ||||
2080208 | 基层政权建设和社区治理 | 210.97 | 210.97 | ||||
2080299 | 其他民政管理事务支出 | 1,647.83 | 538.77 | 1,109.06 | |||
20805 | 行政事业单位养老支出 | 214.44 | 214.44 | ||||
2080505 | 机关事业单位基本养老保险缴费支出 | 113.90 | 113.90 | ||||
2080506 | 机关事业单位职业年金缴费支出 | 100.54 | 100.54 | ||||
20808 | 抚恤 | 3.75 | 3.75 | ||||
2080801 | 死亡抚恤 | 3.75 | 3.75 | ||||
20810 | 社会福利 | 6,382.46 | 2,396.33 | 3,986.13 | |||
2081001 | 儿童福利 | 388.91 | 388.91 | ||||
2081002 | 老年福利 | 1,460.08 | 1,460.08 | ||||
2081004 | 殡葬 | 1,629.36 | 1,629.36 | ||||
2081005 | 社会福利事业单位 | 2,663.72 | 2,396.33 | 267.39 | |||
2081006 | 养老服务 | 240.39 | 240.39 | ||||
20819 | 最低生活保障 | 12,481.99 | 12,481.99 | ||||
2081901 | 城市最低生活保障金支出 | 2,587.16 | 2,587.16 | ||||
2081902 | 农村最低生活保障金支出 | 9,894.83 | 9,894.83 | ||||
20820 | 临时救助 | 1,243.38 | 1.06 | 1,242.32 | |||
2082001 | 临时救助支出 | 1,144.07 | 1,144.07 | ||||
2082002 | 流浪乞讨人员救助支出 | 99.31 | 1.06 | 98.25 | |||
20821 | 特困人员救助供养 | 3,148.97 | 3,148.97 | ||||
2082101 | 城市特困人员救助供养支出 | 265.07 | 265.07 | ||||
2082102 | 农村特困人员救助供养支出 | 2,883.90 | 2,883.90 | ||||
20825 | 其他生活救助 | 25.45 | 25.45 | ||||
2082501 | 其他城市生活救助 | 25.45 | 25.45 | ||||
210 | 卫生健康支出 | 1,986.29 | 35.89 | 1,950.40 | |||
21011 | 行政事业单位医疗 | 35.89 | 35.89 | ||||
2101101 | 行政单位医疗 | 17.24 | 17.24 | ||||
2101102 | 事业单位医疗 | 18.65 | 18.65 | ||||
21014 | 优抚对象医疗 | 1,950.40 | 1,950.40 | ||||
2101401 | 优抚对象医疗补助 | 1,950.40 | 1,950.40 | ||||
212 | 城乡社区支出 | 800.00 | 800.00 | ||||
21208 | 国有土地使用权出让收入安排的支出 | 800.00 | 800.00 | ||||
2120899 | 其他国有土地使用权出让收入安排的支出 | 800.00 | 800.00 | ||||
221 | 住房保障支出 | 101.71 | 101.71 | ||||
22102 | 住房改革支出 | 101.71 | 101.71 | ||||
2210201 | 住房公积金 | 101.71 | 101.71 | ||||
229 | 其他支出 | 8,182.83 | 8,182.83 | ||||
22904 | 其他政府性基金及对应专项债务收入安排的支出 | 7,384.06 | 7,384.06 | ||||
2290403 | 其他政府性基金债务收入安排的支出 | 7,384.06 | 7,384.06 | ||||
22960 | 彩票公益金安排的支出 | 798.77 | 798.77 | ||||
2296002 | 用于社会福利的彩票公益金支出 | 724.42 | 724.42 | ||||
2296099 | 用于其他社会公益事业的彩票公益金支出 | 74.35 | 74.35 | ||||
注:本表反映部门本年度各项支出情况。 | |||||||
财政拨款收入支出决算总表
公开04表 | ||
部门:潜江市民政局(汇总) | 2024年度 | 金额单位:万元 |
收 入 | 支 出 | |||||||
项目 | 行次 | 金额 | 项目 | 行次 | 合计 | 一般公共预算财政拨款 | 政府性基金预算财政拨款 | 国有资本经营预算财政拨款 |
栏次 | 1 | 栏次 | 2 | 3 | 4 | 5 | ||
一、一般公共预算财政拨款 | 1 | 26,652.41 | 一、一般公共服务支出 | 33 | ||||
二、政府性基金预算财政拨款 | 2 | 8,982.84 | 二、外交支出 | 34 | ||||
三、国有资本经营预算财政拨款 | 3 | 三、国防支出 | 35 | |||||
4 | 四、公共安全支出 | 36 | ||||||
5 | 五、教育支出 | 37 | ||||||
6 | 六、科学技术支出 | 38 | ||||||
7 | 七、文化旅游体育与传媒支出 | 39 | ||||||
8 | 八、社会保障和就业支出 | 40 | 24,754.02 | 24,754.02 | ||||
9 | 九、卫生健康支出 | 41 | 1,985.98 | 1,985.98 | ||||
10 | 十、节能环保支出 | 42 | ||||||
11 | 十一、城乡社区支出 | 43 | 800.00 | 800.00 | ||||
12 | 十二、农林水支出 | 44 | ||||||
13 | 十三、交通运输支出 | 45 | ||||||
14 | 十四、资源勘探工业信息等支出 | 46 | ||||||
15 | 十五、商业服务业等支出 | 47 | ||||||
16 | 十六、金融支出 | 48 | ||||||
17 | 十七、援助其他地区支出 | 49 | ||||||
18 | 十八、自然资源海洋气象等支出 | 50 | ||||||
19 | 十九、住房保障支出 | 51 | 98.34 | 98.34 | ||||
20 | 二十、粮油物资储备支出 | 52 | ||||||
21 | 二十一、国有资本经营预算支出 | 53 | ||||||
22 | 二十二、灾害防治及应急管理支出 | 54 | ||||||
23 | 二十三、其他支出 | 55 | 8,182.84 | 8,182.84 | ||||
24 | 二十四、债务还本支出 | 56 | ||||||
25 | 二十五、债务付息支出 | 57 | ||||||
26 | 二十六、抗疫特别国债安排的支出 | 58 | ||||||
本年收入合计 | 27 | 35,635.25 | 本年支出合计 | 59 | 35,821.17 | 26,838.34 | 8,982.84 | |
年初财政拨款结转和结余 | 28 | 532.87 | 年末财政拨款结转和结余 | 60 | 346.95 | 346.95 | ||
一般公共预算财政拨款 | 29 | 532.87 | 61 | |||||
政府性基金预算财政拨款 | 30 | 62 | ||||||
国有资本经营预算财政拨款 | 31 | 63 | ||||||
总计 | 32 | 36,168.12 | 总计 | 64 | 36,168.12 | 27,185.28 | 8,982.84 | |
注:本表反映部门本年度一般公共预算财政拨款、政府性基金预算财政拨款和国有资本经营预算财政拨款的总收支和年末结转结余情况。 | ||||||||
一般公共预算财政拨款支出决算表
公开05表 | ||
部门:潜江市民政局(汇总) | 2024年度 | 金额单位:万元 |
项目 | 本年支出 | |||
科目代码 | 科目名称 | 小计 | 基本支出 | 项目支出 |
栏次 | 1 | 2 | 3 | |
合计 | 26,838.34 | 3,454.39 | 23,383.95 | |
208 | 社会保障和就业支出 | 24,754.01 | 3,320.47 | 21,433.54 |
20802 | 民政管理事务 | 2,391.77 | 1,061.79 | 1,329.99 |
2080201 | 行政运行 | 580.37 | 580.37 | |
2080206 | 社会组织管理 | 44.84 | 44.84 | |
2080207 | 行政区划和地名管理 | 20.61 | 20.61 | |
2080208 | 基层政权建设和社区治理 | 155.48 | 155.48 | |
2080299 | 其他民政管理事务支出 | 1,590.47 | 481.42 | 1,109.06 |
20805 | 行政事业单位养老支出 | 202.89 | 202.89 | |
2080505 | 机关事业单位基本养老保险缴费支出 | 111.33 | 111.33 | |
2080506 | 机关事业单位职业年金缴费支出 | 91.56 | 91.56 | |
20808 | 抚恤 | 3.75 | 3.75 | |
2080801 | 死亡抚恤 | 3.75 | 3.75 | |
20810 | 社会福利 | 5,256.87 | 2,052.04 | 3,204.82 |
2081001 | 儿童福利 | 388.91 | 388.91 | |
2081002 | 老年福利 | 1,165.85 | 1,165.85 | |
2081004 | 殡葬 | 1,142.28 | 1,142.28 | |
2081005 | 社会福利事业单位 | 2,319.44 | 2,052.04 | 267.39 |
2081006 | 养老服务 | 240.39 | 240.39 | |
20819 | 最低生活保障 | 12,481.99 | 12,481.99 | |
2081901 | 城市最低生活保障金支出 | 2,587.16 | 2,587.16 | |
2081902 | 农村最低生活保障金支出 | 9,894.83 | 9,894.83 | |
20820 | 临时救助 | 1,242.32 | 1,242.32 | |
2082001 | 临时救助支出 | 1,144.07 | 1,144.07 | |
2082002 | 流浪乞讨人员救助支出 | 98.25 | 98.25 | |
20821 | 特困人员救助供养 | 3,148.97 | 3,148.97 | |
2082101 | 城市特困人员救助供养支出 | 265.07 | 265.07 | |
2082102 | 农村特困人员救助供养支出 | 2,883.90 | 2,883.90 | |
20825 | 其他生活救助 | 25.45 | 25.45 | |
2082501 | 其他城市生活救助 | 25.45 | 25.45 | |
210 | 卫生健康支出 | 1,985.98 | 35.58 | 1,950.40 |
21011 | 行政事业单位医疗 | 35.58 | 35.58 | |
2101101 | 行政单位医疗 | 17.24 | 17.24 | |
2101102 | 事业单位医疗 | 18.34 | 18.34 | |
21014 | 优抚对象医疗 | 1,950.40 | 1,950.40 | |
2101401 | 优抚对象医疗补助 | 1,950.40 | 1,950.40 | |
221 | 住房保障支出 | 98.34 | 98.34 | |
22102 | 住房改革支出 | 98.34 | 98.34 | |
2210201 | 住房公积金 | 98.34 | 98.34 | |
注:本表反映部门本年度一般公共预算财政拨款支出情况。 | ||||
一般公共预算财政拨款基本支出决算明细表
公开06表 | ||
部门:潜江市民政局(汇总) | 2024年度 | 金额单位:万元 |
人员经费 | 公用经费 | |||||||
科目代码 | 科目名称 | 决算数 | 科目代码 | 科目名称 | 决算数 | 科目代码 | 科目名称 | 决算数 |
301 | 工资福利支出 | 2,465.43 | 302 | 商品和服务支出 | 819.85 | 307 | 债务利息及费用支出 | |
30101 | 基本工资 | 504.50 | 30201 | 办公费 | 20.39 | 30701 | 国内债务付息 | |
30102 | 津贴补贴 | 272.83 | 30202 | 印刷费 | 18.63 | 30702 | 国外债务付息 | |
30103 | 奖金 | 96.05 | 30203 | 咨询费 | 2.40 | 310 | 资本性支出 | 17.16 |
30106 | 伙食补助费 | 30204 | 手续费 | 0.46 | 31001 | 房屋建筑物购建 | ||
30107 | 绩效工资 | 380.09 | 30205 | 水费 | 7.82 | 31002 | 办公设备购置 | 2.58 |
30108 | 机关事业单位基本养老保险缴费 | 182.87 | 30206 | 电费 | 73.53 | 31003 | 专用设备购置 | 14.58 |
30109 | 职业年金缴费 | 125.35 | 30207 | 邮电费 | 11.68 | 31005 | 基础设施建设 | |
30110 | 职工基本医疗保险缴费 | 95.04 | 30208 | 取暖费 | 31006 | 大型修缮 | ||
30111 | 公务员医疗补助缴费 | 30209 | 物业管理费 | 23.67 | 31007 | 信息网络及软件购置更新 | ||
30112 | 其他社会保障缴费 | 93.47 | 30211 | 差旅费 | 38.43 | 31008 | 物资储备 | |
30113 | 住房公积金 | 222.05 | 30212 | 因公出国(境)费用 | 31009 | 土地补偿 | ||
30114 | 医疗费 | 30213 | 维修(护)费 | 61.49 | 31010 | 安置补助 | ||
30199 | 其他工资福利支出 | 493.18 | 30214 | 租赁费 | 21.96 | 31011 | 地上附着物和青苗补偿 | |
303 | 对个人和家庭的补助 | 151.95 | 30215 | 会议费 | 1.43 | 31012 | 拆迁补偿 | |
30301 | 离休费 | 30216 | 培训费 | 3.88 | 31013 | 公务用车购置 | ||
30302 | 退休费 | 82.51 | 30217 | 公务接待费 | 2.93 | 31019 | 其他交通工具购置 | |
30303 | 退职(役)费 | 30218 | 专用材料费 | 2.13 | 31021 | 文物和陈列品购置 | ||
30304 | 抚恤金 | 12.16 | 30224 | 被装购置费 | 31022 | 无形资产购置 | ||
30305 | 生活补助 | 4.91 | 30225 | 专用燃料费 | 102.40 | 31099 | 其他资本性支出 | |
30306 | 救济费 | 30226 | 劳务费 | 1.84 | 399 | 其他支出 | ||
30307 | 医疗费补助 | 30227 | 委托业务费 | 94.76 | 39907 | 国家赔偿费用支出 | ||
30308 | 助学金 | 30228 | 工会经费 | 95.52 | 39908 | 对民间非营利组织和群众性自治组织补贴 | ||
30309 | 奖励金 | 21.19 | 30229 | 福利费 | 120.56 | 39909 | 经常性赠与 | |
30310 | 个人农业生产补贴 | 30231 | 公务用车运行维护费 | 16.68 | 39910 | 资本性赠与 | ||
30311 | 代缴社会保险费 | 30239 | 其他交通费用 | 1.20 | 39999 | 其他支出 | ||
30399 | 其他对个人和家庭的补助 | 31.17 | 30240 | 税金及附加费用 | ||||
30299 | 其他商品和服务支出 | 96.04 | ||||||
人员经费合计 | 2,617.38 | 公用经费合计 | 837.01 | |||||
注:本表反映部门本年度一般公共预算财政拨款基本支出明细情况。 | ||||||||
政府性基金预算财政拨款收入支出决算表
公开07表 | ||
部门:潜江市民政局(汇总) | 2024年度 | 金额单位:万元 |
项目 | 年初结转和结余 | 本年收入 | 本年支出 | 年末结转和结余 | |||
科目代码 | 科目名称 | 小计 | 基本支出 | 项目支出 | |||
栏次 | 1 | 2 | 3 | 4 | 5 | 6 | |
合计 | 8,982.84 | 8,982.84 | 8,982.84 | ||||
212 | 城乡社区支出 | 800.00 | 800.00 | 800.00 | |||
21208 | 国有土地使用权出让收入安排的支出 | 800.00 | 800.00 | 800.00 | |||
2120899 | 其他国有土地使用权出让收入安排的支出 | 800.00 | 800.00 | 800.00 | |||
229 | 其他支出 | 8,182.83 | 8,182.83 | 8,182.83 | |||
22904 | 其他政府性基金及对应专项债务收入安排的支出 | 7,384.06 | 7,384.06 | 7,384.06 | |||
2290403 | 其他政府性基金债务收入安排的支出 | 7,384.06 | 7,384.06 | 7,384.06 | |||
22960 | 彩票公益金安排的支出 | 798.77 | 798.77 | 798.77 | |||
2296002 | 用于社会福利的彩票公益金支出 | 724.42 | 724.42 | 724.42 | |||
2296099 | 用于其他社会公益事业的彩票公益金支出 | 74.35 | 74.35 | 74.35 | |||
注:本表反映部门本年度政府性基金预算财政拨款收入、支出及结转和结余情况。 | |||||||
国有资本经营预算财政拨款支出决算表
公开08表 | ||
部门:潜江市民政局(汇总) | 2024年度 | 金额单位:万元 |
项目 | 本年支出 | |||
科目代码 | 科目名称 | 合计 | 基本支出 | 项目支出 |
栏次 | 1 | 2 | 3 | |
合计 | ||||
注:本表反映部门本年度国有资本经营预算财政拨款支出情况。 | ||||
本部门2024年度无国有资本经营预算财政拨款收支安排,故无相关数据。 | ||||
财政拨款“三公”经费支出决算表
公开09表 | ||
部门:潜江市民政局(汇总) | 2024年度 | 金额单位:万元 |
预算数 | 决算数 | ||||||||||
合计 | 因公出国(境)费 | 公务用车购置及运行维护费 | 公务接待费 | 合计 | 因公出国(境)费 | 公务用车购置及运行维护费 | 公务接待费 | ||||
小计 | 公务用车购置费 | 公务用车运行维护费 | 小计 | 公务用车购置费 | 公务用车运行维护费 | ||||||
1 | 2 | 3 | 4 | 5 | 6 | 7 | 8 | 9 | 10 | 11 | 12 |
39.05 | 34.92 | 34.92 | 4.13 | 24.01 | 20.81 | 20.81 | 3.20 | ||||
注:本表反映部门本年度财政拨款“三公”经费支出预决算情况。其中,预算数为“三公”经费全年预算数,反映按规定程序调整后的预算数;决算数是包括当年财政拨款和以前年度结转资金安排的实际支出。 | |||||||||||
第三部分 2024年度部门决算情况说明
一、收入支出决算总体情况说明
2024年度收、支总计均为37523.68万元。与2023年度相比,收、支总计增加742.06万元,增长2.0%,主要原因是福利院、休干所、救助局、救助站收支增加。
图1:收、支决算总计变动情况

二、收入决算情况说明
2024年度收入合计36325.73万元,与2023年度相比,收入合计增加2000.91万元,增长5.8%。其中:财政拨款收入35635.25万元,占本年收入98.1%;上级补助收入0.00万元,占本年收入0.0%;事业收入0.00万元,占本年收入0.0%;经营收入0.00万元,占本年收入0.0%;附属单位上缴收入0.00万元,占本年收入0.0%;其他收入690.48万元,占本年收入1.9%。
图2:收入决算结构

三、支出决算情况说明
2024年度支出合计37124.21万元,与2023年度相比,支出合计增加1855.22万元,增长5.3%。其中:基本支出3920.62万元,占本年支出10.6%;项目支出33203.58万元,占本年支出89.4%;上缴上级支出0.00万元,占本年支出0.0%;经营支出0.00万元,占本年支出0.0%;对附属单位补助支出0.00万元,占本年支出0.0%。
图3:支出决算结构

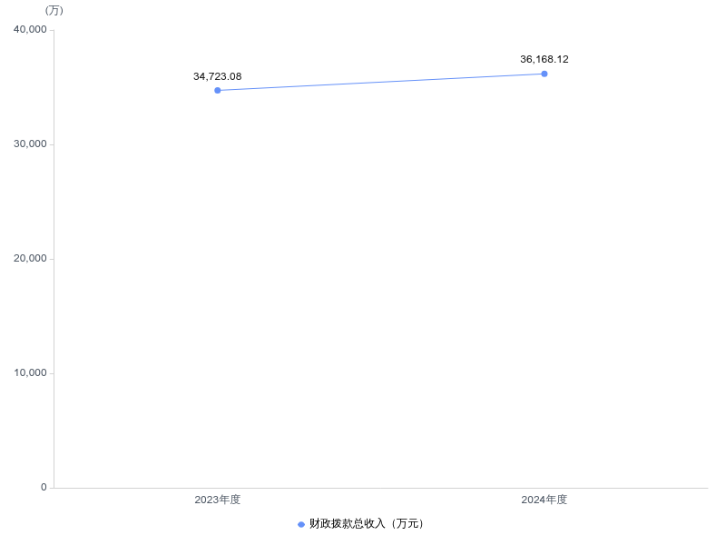
四、财政拨款收入支出决算总体情况说明
2024年度财政拨款收、支总计均为36168.12万元。与2023年度相比,财政拨款收、支总计各增加1445.04万元,增长4.2%。主要原因是福利院、救助局、救助站财政拨款收支增加。
2024年度财政拨款收入中,一般公共预算财政拨款收入26652.41万元,比2023年度决算数减少5369.68万元,减少主要原因是民政局本级减少救助资金收支,休干所减少人员经费,殡管所人文纪念园项目资金减少。政府性基金预算财政拨款收入8982.84万元,比2023年度决算数增加8333.28万元,增加主要原因是民政局本级增加民政事业园项目资金,福利院增加儿童养育基础设施改造电梯设备资金,救助局增加农村低保资金,殡管所政府性基金预算财政拨款收入增加。国有资本经营预算财政拨款收入0.00万元,比2023年度决算数持平。
图4:财政拨款收、支决算总计变动情况

五、一般公共预算财政拨款支出决算情况说明
(一)一般公共预算财政拨款支出决算总体情况。
2024年度一般公共预算财政拨款支出26838.34万元,占本年支出合计的72.3%。与2023年度相比,一般公共预算财政拨款支出减少6653.61万元,下降19.9%,主要原因是民政局本级减少救助资金收支,休干所减少人员经费,殡管所人文纪念园项目资金减少。
(二)一般公共预算财政拨款支出决算结构情况。
2024年度一般公共预算财政拨款支出26838.34万元,主要用于以下方面:
1.社会保障和就业支出类支出24754.01万元,占92.2%。主要是用于民政管理事务支出2391.77万元、行政事业单位养老支出202.89万元、抚恤支出3.75万元、社会福利支出5256.87万元、最低生活保障支出12481.99万元、临时救助支出1242.32万元、特困人员救助供养支出3148.97万元和其他生活救助支出25.45万元。
民政管理事务支出2391.77万元,包含:行政运行支出580.37万元,占比24.3%;社会组织管理支出44.84万元,占比1.9%;行政区划和地名管理支出20.61万元,占比0.9%;基层政权建设和社区治理支出155.48万元,占比6.5%;其他民政管理事务支出1590.47万元,占比66.5%。
行政事业单位养老支出202.89万元,包含:机关事业单位基本养老保险缴费支出111.33万元,占比54.9%;机关事业单位职业年金缴费支出91.56万元,占比45.1%。
抚恤支出3.75万元,包含:死亡抚恤支出3.75万元,占比100%。
社会福利支出5256.87万元,包含:儿童福利支出388.91万元,占比7.4%;老年福利支出1165.85万元,占比22.2%;殡葬支出1142.28万元,占比21.7%;社会福利事业单位支出2319.44万元,占比44.1%;养老服务支出240.39万元,占比4.6%。
最低生活保障支出12481.99万元,包含:城市最低生活保障金支出2587.16万元,占比20.7%;农村最低生活保障金支出9894.83万元,占比79.3%。
临时救助支出1242.32万元,包含:临时救助支出1144.07万元,占比92.1%;流浪乞讨人员救助支出98.25万元,占比7.9%。
特困人员救助供养支出3148.97万元,包含:城市特困人员救助供养支出265.07万元,占比8.4%;农村特困人员救助供养支出2883.9万元,占比91.6%。
其他生活救助支出25.45万元,包含:其他城市生活救助支出25.45万元,占比100%。
2.卫生健康支出类支出1985.98万元,占7.4%。主要是用于行政事业单位医疗支出35.58万元、优抚对象医疗支出1950.4万元。
行政事业单位医疗支出35.58万元,包含:行政单位医疗支出17.24万元,占比48.5%;事业单位医疗支出18.34万元,占比51.5%。
优抚对象医疗支出1950.4万元,包含优抚对象医疗补助支出1950.4万元,占比100%。
3.住房保障支出类支出98.34万元,占0.4%。主要是用于住房改革支出98.34万元。住房改革支出包含:住房公积金支出98.34万元,占比100%。
(三)一般公共预算财政拨款支出决算具体情况。
2024年度一般公共预算财政拨款支出年初预算为25232.35万元,支出决算为26838.34万元,完成年初预算的106.4%。其中:
1.社会保障和就业支出具体包括:
(1)社会保障和就业支出(类)民政管理事务(款)行政运行(项)年初预算为736.66万元,支出决算为580.37万元,完成年初预算的78.8%,支出决算数小于年初预算数的主要原因是正常动态调整。
(2)社会保障和就业支出(类)民政管理事务(款)社会组织管理(项)年初预算为3.15万元,支出决算为44.84万元,完成年初预算的1423.5%,支出决算数大于年初预算数的主要原因是2024年预算中未将社会组织管理局事业运行支出计入预算数。
(3)社会保障和就业支出(类)民政管理事务(款)行政区划和地名管理(项)年初预算为28.94万元,支出决算为20.61万元,完成年初预算的71.2%,支出决算数小于年初预算数的主要原因是正常动态调整。
(4)社会保障和就业支出(类)民政管理事务(款)基层政权建设和社区治理(项)年初预算为1.13万元,支出决算为155.48万元,完成年初预算的13759.3%,支出决算数大于年初预算数的主要原因是2024年追加项目经费。
(5)社会保障和就业支出(类)民政管理事务(款)其他民政管理事务支出(项)年初预算为72.08万元,支出决算为1590.47万元,完成年初预算的2206.5%,支出决算数大于年初预算数的主要原因是民政事业园项目资金年初未纳入预算,后期由债券资金安排。
(6)社会保障和就业支出(类)行政事业单位养老支出(款)机关事业单位基本养老保险缴费支出(项)年初预算为108.62万元,支出决算为111.33万元,完成年初预算的102.5%,支出决算数大于年初预算数的主要原因是人员变动和基数调标。
(7)社会保障和就业支出(类)行政事业单位养老支出(款)机关事业单位职业年金缴费支出(项)年初预算为 54.31万元,支出决算为91.56万元,完成年初预算的168.6%,支出决算数大于年初预算数的主要原因是人员变动和基数调标。
(8)社会保障和就业支出(类)抚恤(款)死亡抚恤(项)年初预算为0万元,支出决算为3.75万元,完成年初预算的__%,支出决算数大于年初预算数的主要原因是社会救助局支出功能分类使用错误,本部门没有抚恤类支出。
(9)社会保障和就业支出(类)社会福利(款)儿童福利(项)年初预算为1.4万元,支出决算为388.91万元,完成年初预算的27779.3%,支出决算数大于年初预算数的主要原因是2024年儿童福利支出在上年结转资金中列支。
(10)社会保障和就业支出(类)社会福利(款)老年福利(项)年初预算为1610.2万元,支出决算为1165.85万元,完成年初预算的72.4%,支出决算数小于年初预算数的主要原因是部分资金纳入部门预算但实际在财政社保科支出。
(11)社会保障和就业支出(类)社会福利(款)殡葬(项)年初预算为96万元,支出决算为1142.28万元,完成年初预算的1189.9%,支出决算数大于年初预算数的主要原因是人文纪念园项目由债券资金支持,未纳入部门预算。
(12)社会保障和就业支出(类)社会福利(款)社会福利事业单位(项)年初预算为184.62万元,支出决算为2319.44万元,完成年初预算的1256.3%,支出决算数大于年初预算数的主要原因是2024年追加项目经费。
(13)社会保障和就业支出(类)社会福利(款)养老服务(项)年初预算为0万元,支出决算为240.39万元,完成年初预算的__%,支出决算数大于年初预算数的主要原因是资金从省专资金中列支,未纳入年初部门预算。
(14)社会保障和就业支出(类)最低生活保障(款)城市最低生活保障金支出(项)年初预算为2888万元,支出决算为2587.16万元,完成年初预算的89.6%,支出决算数小于年初预算数的主要原因是正常动态调整。
(15)社会保障和就业支出(类)最低生活保障(款)农村最低生活保障金支出(项)年初预算为9204.26万元,支出决算为9894.83万元,完成年初预算的107.5%,支出决算数大于年初预算数的主要原因是正常动态调整。
(16)社会保障和就业支出(类)临时救助(款)临时救助支出(项)年初预算为1298.92万元,支出决算为1144.07万元,完成年初预算的88.1%,支出决算数小于年初预算数的主要原因是正常动态调整。
(17)社会保障和就业支出(类)临时救助(款)流浪乞讨人员救助支出(项)年初预算为120.28万元,支出决算为98.25万元,完成年初预算的81.7%,支出决算数小于年初预算数的主要原因是部分资金纳入部门预算但实际在财政社保科支出。
(18)社会保障和就业支出(类)特困人员救助供养(款)城市特困人员救助供养支出(项)年初预算为2753.19万元,支出决算为265.07万元,完成年初预算的9.6%,支出决算数小于年初预算数的主要原因是特困人员救助供养年初预算数为城市特困和农村特困合计数。
(19)社会保障和就业支出(类)特困人员救助供养(款)农村特困人员救助供养支出(项)年初预算为2753.19万元,支出决算为2883.90万元,完成年初预算的104.7%,支出决算数大于年初预算数的主要原因是正常动态调整。
(20)社会保障和就业支出(类)其他生活救助(款)其他城市生活救助(项)年初预算为33.01万元,支出决算为25.45万元,完成年初预算的77.1%,支出决算数小于年初预算数的主要原因是正常动态调整。
2.卫生健康支出具体包括:
(1)卫生健康支出(类)行政事业单位医疗(款)行政单位医疗(项)年初预算为29.67万元,支出决算为17.24万元,完成年初预算的58.1%,支出决算数小于年初预算数的主要原因是行政事业单位医疗年初预算数为行政单位医疗和事业单位医疗合计数。
(2)卫生健康支出(类)行政事业单位医疗(款)事业单位医疗(项)年初预算为29.67万元,支出决算为18.34万元,完成年初预算的61.8%,支出决算数小于年初预算数的主要原因是行政事业单位医疗年初预算数为行政单位医疗和事业单位医疗合计数。
(3)卫生健康支出(类)优抚对象医疗(款)优抚对象医疗补助(项)年初预算为0万元,支出决算为1950.4万元,完成年初预算的__%,支出决算数大于年初预算数的主要原因是支出功能分类使用错误,本部门没有优抚对象医疗支出。
3.住房保障支出具体包括:
(1)住房保障支出(类)住房改革支出(款)住房公积金(项)年初预算为70.82万元,支出决算为98.34万元,完成年初预算的138.9%,支出决算数大于年初预算数的主要原因是人员变动和基数调标。
六、一般公共预算财政拨款基本支出决算情况说明
2024年度一般公共预算财政拨款基本支出3454.39万元,其中:
人员经费2617.38万元,主要包括:基本工资、津贴补贴、奖金、绩效工资、机关事业单位基本养老保险缴费、职业年金缴费、职工基本医疗保险缴费、其他社会保障缴费、住房公积金、其他工资福利支出、退休费、抚恤金、生活补助、奖励金、其他对个人和家庭的补助。
公用经费837.01万元,主要包括:办公费、印刷费、咨询费、手续费、水费、电费、邮电费、物业管理费、差旅费、维修(护)费、租赁费、会议费、培训费、公务接待费、专用材料费、专用燃料费、劳务费、委托业务费、工会经费、福利费、公务用车运行维护费、其他交通费用、其他商品和服务支出、办公设备购置、专用设备购置。
七、政府性基金预算财政拨款收入支出决算情况说明
2024年度政府性基金预算财政拨款年初结转和结余0.00万元,本年收入8982.84万元,本年支出8982.84万元,年末结转和结余0.00万元。具体支出情况为:
1.城乡社区支出类支出决算为800.00万元,主要用于农低保等方面支出。
2.其他支出类支出决算为8182.83万元,主要用于民政事业园、老年福利、被征地农民生活补助、殡葬等方面支出。
八、国有资本经营预算财政拨款支出决算情况说明
本部门2024年度无国有资本经营预算财政拨款支出。
九、财政拨款“三公”经费支出决算情况说明
(一)“三公”经费财政拨款支出决算总体情况说明
2024年度“三公”经费财政拨款支出全年预算为39.05万元,支出决算为24.01万元,完成全年预算的61.5%。较上年减少48.56万元,下降66.9%,决算数小于全年预算数的主要原因是厉行勤俭节约,减少“三公”经费支出。决算数较上年减少的主要原因是本年无公务用车购置费。
(二)“三公”经费财政拨款支出决算具体情况说明。
1.因公出国(境)费全年预算为0.00万元,支出决算为0.00万元,完成全年预算的0.00%。较上年持平。
2.公务用车购置及运行费全年预算为34.92万元,支出决算为20.81万元,完成全年预算的59.6%;较上年减少50.38万元,下降70.8%。决算数小于全年预算数的主要原因是厉行勤俭节约,减少公务用车购置及运行费支出。决算数较上年减少的主要原因是本年无公务用车购置费。其中:
(1)公务用车购置费支出0.00万元。本年度购置(更新)公务用车0辆。
(2)公务用车运行费支出20.81万元,主要用于保险、燃油、维修保养等开支。截至2024年12月31日,开支财政拨款的公务用车保有量为10辆。
3.公务接待费全年预算为4.13万元,支出决算为3.2万元,完成全年预算的77.5%,较上年增加1.82万元,增长131.9%。决算数小于全年预算数的主要原因是厉行勤俭节约,减少公务接待费支出。其中:
外宾接待支出0.00万元。2024年共接待来访团组0个,0人次(不包括陪同人员)。
国内公务接待支出3.2万元,接待对象主要是上级单位、同级单位、招商对象等,主要是开展公务接待、商务接待工作。2024年共接待国内来访团组30个,353人次(不包括陪同人员)。
十、机关运行经费支出说明
本部门2024年度机关运行经费支出148.04万元,比年初预算数持平;比上年决算数减少9.71万元,下降6.2%。主要原因是落实过紧日子要求压减办公费、印刷费、公务接待费、会议费、劳务费等支出。
十一、政府采购支出说明
本部门 2024年度政府采购支出总额8735.42万元,其中:政府采购货物支出1351.36万元、政府采购工程支出7384.06万元、政府采购服务支出0万元。授予中小企业合同金额1323.22万元,占政府采购支出总额的15.1%,其中:授予小微企业合同金额1323.22万元,占授予中小企业合同金额的100%;货物采购授予中小企业合同金额占货物支出金额的15.1%,工程采购授予中小企业合同金额占工程支出金额的15.1%。
十二、国有资产占用情况说明
截至2024年12月31日,潜江市民政局(汇总)共有车辆11辆,其中,副省级及以上领导干部用车0辆、主要负责人用车0辆、机要通信用车0辆、应急保障用车1辆、执法执勤用车0辆、特种专业技术用车0辆、离退休干部服务用车0辆、其他用车10辆,,他用车主要是保障民政业务工作;单位价值100万元以上设备0台(套)。
十三、预算绩效情况说明
(一)预算绩效管理工作开展情况。
根据预算绩效管理要求,本部门组织对2024年度一般公共预算项目支出全面开展绩效自评,共涉及项目26个,资金20702.97万元,占一般公共预算项目支出总额的88.5%。从评价情况来看,2024年民政局支出绩效评价整体情况较好。具体表现在:预算编制较为及时、准确,预算执行情况较好;在执行管理和支出绩效方面,认真执行各项财经纪律,财务管理制度较为健全,资金使用较为规范;项目实施取得了一定的经济和社会效益,为全市经济发展发挥了积极促进作用。“三公”经费控制较好,压缩率达到预定目标,党风廉政建设一岗双责得到全面贯彻落实。但是,在预算编制的完整性上有得进一步提高,还存在费用开支不合规和超范围使用资金的现象。由于本部门基本支出经费严重不足,还存在挤占挪用专项资金的现象。同时,项目支出管理的规范性、科学性不足,项目整体效益尚需提升。
市民政局2024年度部门整体支出绩效评价算计得分98.5分。
(二)部门决算中项目绩效自评结果。
本部门今年在部门决算中反映所有项目绩效自评结果。
1.民政事务综合管理经费项目绩效自评综述:项目全年预算数为104.8456万元,执行数为104.8456万元,完成预算100%。主要产出和效益:一是数量指标:①基层民政办个数≧24个;②慈善总会≧1家;③社区≧1个;④勘界档案整理份数≧3824份。所有指标严格按照年度设定年度指标值完成。二是质量指标:2024年市民政局坚持以习近平新时代中国特色社会主义思想为指导,全面贯彻党的二十大精神,认真执行国家的决策和省、市部署,坚持以人民为中心的发展理念,改革创新,锐意进取,推进各项民政重点工作取得新成效,以实际行动为我市加快打造“一城三基地”、奋力建设四化同步发展示范区作出新贡献,各项工作已完成,民政重点工作迈上新台阶,工作处理完成率100%。三是时效指标:民政专项工作经费严格按照《潜江市民政局财务管理制度》、《潜江市民政局经费支出报销管理规定》执行,实行专款专用,资金于12月25日前完成使用。四是经济成本指标:2024年民政事务综合管理经费使用104.8456万元。五是社会效益指标:2024年民政专项工作经费使用社会效益均已达到,其中:①市民政局机关档案管理规范,属“省特级”档案;②市民政局扛牢压实管党治党主体责任,不断加强干部队伍建设,推动工作作风转变,筑牢基层战斗堡垒,提高民政公共服务能力;③提高服务质量,落实民政对象各项待遇,城乡低保保障标准分别增长2%、6%,达到758元/月、653元/月;二是城乡特困供养标准最高增长8%、10%,达到2870元/月、2733元/月;三是分散和集中供养孤儿保障标准均增长2%,分别达到1516元/月、2426元/月。其中农村低保和特困供养标准高于全省平均水平,好于周边县市。六是服务对象满意度指标:发放问卷调查表20份,收回20份,满意20份,满意率100%。
2.社会组织法人离任、注销清算审计项目绩效自评综述:项目全年预算数为3.15万元,执行数为3.15万元,完成预算100%。主要产出和效益:一是数量指标:组织注销、清算审计20家。二是质量指标:经费使用合规率100%。三是时效指标:审计工作完成时间2024年底。四是经济成本指标:经费使用合规率3.15万元。五是社会效益指标:促进社会组织健康发展,发挥社会组织作用。六是服务对象满意度指标:社会组织满意度100%。发现的问题及原因:2024年该项目数量指标-审计社会组织数量指标值为25家,实际完成值为20家,未完成的原因主要是:一是社会组织管理是动态数据,有5家社会组织因违法违规被撤销登记;二是部分社会组织由于种种原因、特别是社会组织属于社会化松散型,导致未能及时换届,三是被撤销登记社会组织未能及时办理注销手续。下一步改进措施:今后将加强动态监测,合理估算当年社会组织法人离任、注销数量,督促被撤销登记社会组织及时办理注销手续。
3.高龄津贴项目绩效自评综述:项目全年预算数为1606.6万元,执行数为1722.164万元,完成预算107.2%。主要产出和效益:一是数量指标:80-89周岁老人人数≤23926人;90-99周岁老人人数≤2456人;100周岁及以上老人人数≤35人。2024年80-89周岁老人24454人;90-99周岁老人2835人;100周岁及以上老人37人,完成率100%。二是质量指标:全市高龄津贴发放按照《关于建立高龄老人生活津贴的通知》(潜政办发〔2013〕23号)和《关于调整我市高龄老人生活津贴标准的通知》文件规定执行,完成率100%。三是时效指标:高龄津贴实行每月发放一次。四是成本指标:高龄津贴发放金额≤1606.6万元。2024年共发放高龄津贴1722.164万元,其中:80-89岁老人全年发放金额145.1212万元;90-99岁老人全年发放金额256.373万元;100岁及以上老人全年发放金额14.579万元。五是社会效益指标:全市高龄老人津贴发放覆盖率达到100%,增强老人幸福指数,促进老有所依、老有所养,完成率100%。六是可持续发展指标:高龄津贴的发放工作,弘扬了我市尊老、爱老、助老的传统美德,高龄老人得到了社会极大关注和关爱。七是服务对象满意度指标:计划社会公众满意度95%,已达成。随机抽取服务对象,通过电话回访开展满意度问卷调查,统计满意度≥95%。发现的问题及原因:我市高龄津贴按月发放,在审核审批环节,由于对象年龄过大,容易出现缓报错报等现象,需要多次审核确定,最终发放时间容易跨月,对象就会认定本月未领取到,造成误会。下一步改进措施:一是为确保后期高龄津贴能及时、足额发放,后期我们计划将上个月未及时上报老人安排到下个月进行补发,争取保证每月高龄津贴按时上卡。二是为确保高龄津贴发放实行动态化管理,资金发放及时到位,后期预算工作将考虑到老人申报不及时、发放时间有延误等情况,保障预算与实际相结合。
4.社会救济对象生活补助经费项目绩效自评综述:项目全年预算数为33.01万元,执行数为25.67万元,完成预算77.8%。主要产出和效益:一是数量指标:2024年六十年代精减退职职工补贴人数≤24人,隐消干部补贴人数≤11人。2024年,社会救济对象34人,其中40%救济对象23人、隐消干部对象11人,完成率100%。二是质量指标:六十年代精减退职职工40%救济月标准为1-3月标准为每月600元;4-12月标准为每月653元.隐消干部补贴月标准为567元。三是时效指标:社会救济对象生活补助资金按月发放。2024年,为确保资金发放精准,社会救济对象生活补助资金按月进行发放,完成率100%。四是成本指标:社会救济对象(六十年代精减退职职工、隐消干部)生活补助资金≤33.01万元。五是社会效益指标:“社会救济对象生活补助”资金已全额发放到对象手中,今年补助标准有所提升,较大程度改善了服务对象生活条件。六是可持续发展指标:解决救济对象生活困难,切实保障救济对象合法权益,维护社会稳定。七是服务对象满意度指标:计划社会公众满意度100%,已达成。随机抽取服务对象,通过电话回访开展满意度问卷调查,统计满意度≥100%。
5.农村福利院工作人员经费项目绩效自评综述:项目全年预算数为204万元,执行数为204万元,完成预算100%。主要产出和效益:一是数量指标:13家农村福利院,完成率100%。二是质量指标:2024年按月足额发放农村福利院工作人员工资,发放合规率为100%。三是时效指标:按月发放。四是成本指标:市级拨付资金204万元,未超出预算。五是效益指标:保障农村福利院正常运转,确保集中供养特困人员基本生活得到照料。六是满意度指标:经随机抽查20名对象,20名满意,满意度100%。发现的问题及原因:相关考核机制有待健全完善。农村福利院是重点场所,社会关注度高,且随着养老机构管理日趋规范化,对各项工作提出更高要求,比如农村福利院消防安全、食品安全、服务安全、老人护理等都要遵照指南和标准执行,内容十分专业且繁杂,但该项目资金只能保障农村福利院工作人员的基础工资,无法与工作情况挂钩。下一步改进措施:我们将不断增强责任意识和绩效观念,注重资金支出的经济性和效益性。一是加强工作人员管理,组织开展护理员职业道德和岗位技能培训,提升工作人员专业化水平;二是努力发展院办经济,不断提升代养老人入住率,增加代养收入及种养殖收入,以弥补工作人员待遇不足等问题,并逐步建立完善相应考核激励机制。
6.残疾人“两项补贴”项目绩效自评综述:项目全年预算数为1730万元,执行数为2229.24万元,完成预算128.9%。主要产出和效益:一是数量指标:2024年1月-2024年12月共发放残疾人补贴2229.24万元。其中残疾人困难生活补贴对象7476人,发放资金749.9万元;残疾人重度护理补贴对象12621人,发放资金1479.34万元。二是质量指标:依托全国残疾人两补信息系统,与残联、人社及市救助局、市殡葬管理所、市军人退役服务局比对相关数据,积极与市财政落实残疾人两补资金,及时与农村商业银行完善发放渠道,核实残疾人帐户信息,确保两补资金足额发放。三是时效指标:我市残疾人“两项补贴” 实施困难残疾人生活补贴和重度残疾人护理补贴。困难残疾人生活补贴标准为每人每月70元(根据文件精神从2024年7月1日起实施,将困难残疾人生活补贴标准提高,从70元提高到100月),重度残疾人护理补贴标准为每人每月100元。依托全国残疾人两补信息系统,与残联、人社及市救助局、市殡葬管理所、市卫健委比对相关数据,积极与市财政落实残疾人两补资金,及时与农村商业银行完善发放渠道,核实残疾人帐户信息,确保两补资金按月发放。四是社会效益指标:保障残疾对象受益,改善残疾人生活水平,解决残疾对象经济困难,稳定社会秩序。五是满意度指标:通过对服务对象调查,调查50人,满意50人,满意度100%,完成率100%。
7.省级养老服务体系建设资金项目绩效自评综述:项目全年预算数为534万元,执行数为270万元,完成预算50.6%。主要产出和效益:一是数量指标:1个社区养老服务综合体,完成率100%;2个农村互助照料活动中心,完成率100%;181户特殊困难老年人适老化改造,完成率100%。二是质量指标:养老机构护理型养老床位数比例达到60%,完成率100%。三是社会效益指标:提升了养老服务能力,符合预期社会效益。发现的问题及原因:一是预算编制与实际需求有偏差,过于保守导致资金使用滞后, 主要原因是缺乏资金规划专业能力;二是资金使用效率不高,建设补贴类资金存在“撒胡椒面”现象,难以形成规模效应。下一步改进措施:我们将不断增强责任意识和绩效观念,注重资金支出的经济性和效益性。一是所有项目提前谋划提前部署,并建立全流程动态监管体系,强化预算精准性;二是加强项目支出统筹力度,尽量整合相似领域资金,避免碎片化投入。
8.孤儿基本生活保障及事实无人抚养儿童生活补贴项目绩效自评综述:项目全年预算数为443.46万元,执行数为343.15万元,完成预算77.4%。主要产出和效益:一是数量指标:孤儿人数≥31人,事实无人抚养儿童≥182人,完成率100%。二是质量指标:孤儿及事实无人抚养儿童资金发放均按时间节点发放,不存在资金滞留、延迟发放的情况,经费使用合规率100%。三是时效指标:孤儿及事实无人抚养儿童基本生活补贴每月发放。四是社会效益指标:发放孤儿及事实无人抚养儿童基本生活补贴,不仅改善孤儿、事实无人抚养儿童生活条件,还促进了教育、心理健康和社会融入,减轻了家庭负担,推动了社会公平与稳定,具有广泛的社会效益。五是服务对象满意度指标:受助儿童满意度95%,已达成。随机抽取服务对象,通过电话回访开展满意度问卷调查,统计满意度≥95%。
9.孤儿及事实无人抚养儿童助学项目绩效自评综述:项目全年预算数为20万元,执行数为35万元,完成预算175%。主要产出和效益:一是数量指标:孤儿12人、事实无人抚养儿童23人。二是质量指标:孤儿及事实无人抚养儿童助学金,一是受助孤儿助学申请的乡镇街道民政办完成受理、审核,市民政局确认后通过社会化发放方式,按季度将助学金拨付到受助孤儿本人银行卡。二是受助事实无人抚养儿童助学申请的乡镇街道民政办完成受理、审核,市民政局确认后,通过社会化发放方式一次性将助学金及时拨付到受助人本人银行卡。三是时效指标:乡镇人民政府于每年9月底前向市民政局提交助学申请人相关材料,市民政局确认通过后,纳入“助学工程”,按季度将助学金拨付到受助孤儿本人银行卡;乡镇人民政府每年10月底前向市民政局提交助学申请人相关核实材料,市民政局确认通过后,通过社会化发放方式一次性将助学金拨付到受助人本人银行卡。四是社会效益指标:发放孤儿及事实无人抚养儿童助学金,不仅改善孤儿、事实无人抚养儿童生活条件,还促进了教育、心理健康和社会融入,减轻了家庭负担,推动了社会公平与稳定,具有广泛的社会效益。五是满意度指标:受助儿童满意度95%,已达成。随机抽取服务对象,通过电话回访开展满意度问卷调查,统计满意度≥95%。发现的问题及原因:2024年,根据惠民惠农大数据反馈线索,我局在全市范围开展了事实无人抚养儿童精准摸排工作,及时将符合条件的儿童纳入事实无人抚养儿童精准保障范围,新增事实无人抚养儿童数量增加,造成与年初预算指标数量值相差较大,导致助学金实际发放数额大于预算指标值。下一步改进措施:一是精准识别,通过村居摸排、部门共享等多方联动,及时将符合条件的对象纳入保障范围;二是动态管理,定期更新孤儿及事实无人抚养儿童信息,及时调整补贴对象,确保政策的持续有效性。
10.收养评估经费项目绩效自评综述:项目全年预算数为3.6万元,执行数为0.78万元,完成预算21.7%。主要产出和效益:一是数量指标:评估家庭数4个。二是质量指标:经费使用合规率100%。三是时效指标:项目完成时间为当年年底前。四是社会效益指标:开展收养评估工作有效保障了未成年人合法权益,促进了教育、心理健康和社会融入,推动了社会公平与稳定,具有广泛的社会效益。五是满意度指标:收养评估家庭满意度95%,已达成。随机抽取服务对象,通过电话回访开展满意度问卷调查,统计满意度≥95%。
11.道路命名及路牌安装维护项目绩效自评综述:项目全年预算数为3.941万元,执行数为11.695万元,完成预算296.8%。主要产出和效益:一是产出指标:全年共命名道路33条,更名道路0条;按期完成路牌制作安装71块,路牌维修72处,且经费使用合理合规。二是效益指标:2024年道路命名、更名工作以及道路路牌制作安装维护工作,既明确了道路方位,又方便了群众的生产生活,同时提升基层社会治理水平。三是满意度指标:路牌安装路段周围居民受益,均不影响当地居民正常生活,堵塞交通,并且无不满意投诉事件。路牌维护管理处置及时,周围群众无不满意投诉。
12.省级社会事务补助资金项目绩效自评综述:项目全年预算数为337.5万元,2024年公益性公墓执行数为10万元,完成预算3%。主要产出和效益:一是数量指标:下设三级指标1个。①支持农村公益性公墓项目情况。全年建设农村公益性公墓项目1个,实际验收合格农村公益性公墓项目1个。二是质量指标:经费合格率100%。三是时效指标:农村公益性公墓补助工作完成时间。年底完成。四是成本指标:补助经费使用限额337.5万元,实际使用10万元。五是社会效益指标:改善村居环境,降低丧葬成本,推进殡葬改革新风。六是满意度指标:通过对服务对象调查,调查50人,满意50人,满意度100%,完成率100%。
13.社会福利院安全隐患设施改造和添置设施设备项目绩效自评综述:项目全年预算数为100万元,执行数为99.099万元,完成预算99.1%。主要产出和效益:一是经济成本指标:安全隐患设施改造和添置设施设备项目资金使用限额100万元。二是数量指标:修建消防水池和泵房127.44㎡,改造院内花坛671㎡,添置康复设施设备40套,添置院民床床垫130张。三是质量指标:资金使用合规率100%。四是时效指标:项目于2024年底全部完成,工作完成及时率100%。五是社会效益指标:及时处理各类安全隐患,提档升级设施设备,保障服务对象安全。六是服务对象满意度指标:院民满意度95%。
14.社会福利院基础设施改造建设项目绩效自评综述:项目全年预算数为107.69万元,执行数为107.69万元,完成预算100%。主要产出和效益:一是经济成本指标:基础设施改造建设项目资金使用限额107.69万元。二是数量指标:改建福康楼,福寿楼消防喷淋及设施4281㎡,安装钢制消防疏散楼梯1部,新建透视围墙82.1米,安装高清摄像及智能车牌识别系统1套。三是质量指标:资金使用合规率100%。四是时效指标:项目于2024年底全部完成,工作完成及时率100%。五是社会效益指标:及时处理各类安全隐患,保障服务对象安全。六是 服务对象满意度指标:院民满意度95%。
15.社会救助事务综合管理经费项目绩效自评综述:项目全年预算数为37.576万元,执行数为37.576万元,完成预算100%。主要产出和效益:一是经济成本指标:资金使用限额37.576万元。按政策到位综合事务管理经费项目资金37.576万元 。2024年工作运行经费使用37.576万元。二是数量指标:①服务城乡低保人数大于等于22000人; ②服务城乡特困人数大于等于1600人。③核对低保、特困和临时救助对象人数大于等于40000人。④服务临时救助人数大于等于4600人次。⑤核查专项次数大于等于50次。⑥乡镇民政办培训次数大于等于3次;⑦印制城乡低保政策宣传单大于等于30000张。2024年综合事务管理经费服务城乡低保人数26040人,服务城乡特困人数1634人,临时救助人数5459人,核对低保、特困和临时救助对象人数40400人,印制宣传单40000张,核查专项次数50次,开展相关业务培训3次。三是时效指标:资金使用合规率100%。四是质量指标:社会救助工作完成时限当年12月底前。五是社会效益指标:提升全市群众幸福感和获得感。通过制作公示牌、宣传单、新闻媒体及时的宣传国家救助政策、促进社会救助工作日常开展。工作经费执行预算以来,解决了以前救助工作人手少导致的政策宣传不是很到位,救助对象信息核对不是很准确,救助对象救助不到位的现象。维护了社会的稳定,更好的保障了人民的权益。提升城乡居民保障工作的综合管理水平,提升全市群众幸福感和获得感。六是满意度指标:受益对象满意度满意度95%。通过对受益对象满意度调查,抽查50人,满意人数48人,不满意人数2人,满意度为96%。
16.城市最低生活保障资金项目绩效自评综述:项目全年预算数为2888万元,执行数为2587万元,完成预算89.6%。主要产出和效益:一是数量指标:根据2023年底人数确定2024年城市低保对象补助人数≥4000人。2024年补助4072人,完成率100%。二是质量指标:城市低保条件审核流程合规性、资金发放合规性符合规定。城市低保对象个人申请、入户核查、民主评议、镇处审批、公开公示符合规定;补助资金全部通过潜江市邮政储蓄银行实行社会化发放直达个人账户,资使用合规。三是时效指标:补助经费使用时效当年12月底前拨付完成。补助经费按月发放,每月10日前发放到位,资金使用时效率100%。四是成本指标:补助经费使用限额不超预算2888万元。实际发放城市低保资金2587万元,未超过年初预算。五是社会效益指标:保障城市低保对象的基本生活;维持社会稳定,促进社会和谐。我局通过购买服务,对申请城市低保的对象进行了入户核查及家庭经济状况比对,城市低保条件核查覆盖度100%;通过该项目的使用,增加了城市低保的家庭收入,保障城市低保对象的基本生活。维持了社会稳定,促进了社会和谐。六是满意度指标:服务对象满意度≥95%。通过对服务对象调查,调查50人,满意48人,不满意2人,满意度96%,完成率100%。
17.农村最低生活保障资金项目绩效自评综述:项目全年预算数为11204万元,执行数为10458万元,完成预算93.3%。主要产出和效益:一是数量指标:根据2023年底人数确定2024年农村低保对象补助人数≥21000人。2024年补助22104人,完成率100%。二是质量指标:农村低保条件审核流程合规性、资金发放合规性符合规定。农村低保对象个人申请、入户核查、民主评议、镇处审批、公开公示符合规定;补助资金全部通过潜江市邮政储蓄银行实行社会化发放直达个人账户,资使用合规。三是时效指标:补助经费使用时效当年12月底前拨付完成。补助经费按月发放,每月10日前发放到位,资金使用时效率100%。四是成本指标:补助经费使用限额不超预算11204万元。实际发放农村低保资金10458万元,未超过年初预算。五是社会效益指标:保障农村低保对象的基本生活;维持社会稳定,促进社会和谐。
我局通过购买服务,对申请农村低保的对象进行了入户核查及家庭经济状况比对,农村低保条件核查覆盖度100%;通过该项目的使用,增加了农村低保的家庭收入,保障农村低保对象的基本生活。维持了社会稳定,促进了社会和谐。六是满意度指标:服务对象满意度≥95%。通过对服务对象调查,调查50人,满意48人,不满意2人,满意度96%,完成率100%。
特困供养生活补助资金项目绩效自评综述:项目全年预算数为658.99万元,执行数为658.99万元,完成预算100%。主要产出和效益:一是成本指标:项目控制成本≤3453.13万元。2024年特困供养生活补助资金3453.19,实际支出3148.97万元;根据《市人民政府办公室关于公布我市2024年社会救助标准的通知》,农村特困人员供养标准为1296元/月(15552元/年),其中:基本生活标准849元/月、照料护理标准447元/月。城市特困人员供养标准为1516元/月,其中:基本生活标准986元/月、照料护理标准530元/月。2024年特困供养生活补助资金主要用于城乡特困人员基本生活费、照料护理费、丧葬费等,1-12月共拨付生活资金3148.97万元(中央资金2021.59万元、省级资金468.39万元,市财政配套资金658.99万元)。二是数量指标:特困人员供养人员月供养人数≥1600人。2024年城市特困供养人员114人,农村特困供养人员1520人。三是质量指标:①特困供养人员资格认定审核合规率100%;2024年1月初我市有城市特困供养人员105人,农村特困供养人员1535人,通过“个人申请、镇处审核、公开公示、市民政局审批”的审批程序,全年新增城市特困供养对象13人、农村特困供养对象82人;取消(死亡或退保)城市特困供养对象6人、农村特困供养对象99人。截止2024年12月我市有城市特困供养人员114人,农村特困供养人员1520人。四是时效指标:项目完成时限当年12月低前。每月10日前特困供养人员生活费发放完毕,完成100%。五是社会效益指标:①保障特困人员基本生活。严格落实上级政策,充分维护特困供养人员的合法权益,解决全市特困供养人员的食品、住宿、穿衣、医疗、殡葬、生活不能自理人员的照料护理费用,保障了特困人员基本生活,维护社会稳定,促进社会和谐。六是满意度指标:服务对象满意度≥98%。通过对50名服务对象满意度调查,有49名服务对象满意,有1名服务对象不满意,满意度达到98%。
19.临时救助资金项目绩效自评综述:项目全年预算数为1298.92万元,执行数为1202.17万元,完成预算92.6%。主要产出和效益:一是数量指标:根据2023年底人数确定2024年临时救助对象对象人次数≧4500人。2024年补助5459人,完成率100%。二是质量指标:临时救助条件审核流程合规性、资金发放合规性符合规定。临时救助对象个人申请、入户核查、救助资金不超过当年我市月城低保标准(2024年标准为758元)的4倍由市民政局委托区镇街道人民政府直接审批,救助资金超过当年我市月城低保标准4倍以上的由市民政局审批,符合规定;补助资金全部通过潜江市邮政储蓄银行实行社会化发放直达个人账户,资使用合规。三是时效指标:补助经费使用时效每月10日前拨付。补助经费按月发放,每月10日前发放到位,资金使用时效率100%。四是成本指标:补助经费使用限额不超预算1298.92万元。实际发放临时救助资金1202.17万元,未超过年初预算。五是社会效益指标:对遭遇突发事件、意外伤害、重大疾病或者其他特殊原因导致基本生活陷入困境,其他社会救助制度暂时无法覆盖或者救助之后基本生活暂时出现严重困难的家庭或个人给与临时救助,保障其基本生活,促进社会公平,维护社会和谐稳定。六是满意度指标:服务对象满意度≥96%。通过对服务对象调查,调查20人,满意20人,不满意0人,满意度100%,完成率100%。
20.被征地农民生活补助资金项目绩效自评综述:项目全年预算数为245万元,执行数为236万元,完成预算96.3%。主要产出和效益:一是数量指标:根据2021年底人数确定2024年被征地农民补助人数为≥5000人。2024年补助5032人,完成率100%。二是质量指标:生活补助发放流程合规。
补助资金全部通过潜江市邮政储蓄银行实行社会化发放直达个人账户,资金使用合规率100%。三是时效指标:补助经费使用时效当年12月底拨付完成。补助经费按月发放,每月10日前发放到位,资金使用时效率100%。四是成本指标:补助经费使用限额不超预算245万元。实际发放被征地农民生活补助资金236万元,未超过年初预算。五是社会效益指标:保障被征地农民生活;维持社会稳定,促进社会和谐。通过该项目的使用,增加了被征地农民的家庭收入,保障了被征地农民生基本生活;维持了社会稳定,促进社会和谐。六是满意度指标:服务对象满意度95%。通过对服务对象调查,调查50人,满意48人,不满意2人,满意度96%,完成率100%。
21.救助管理站综合事务管理经费项目绩效自评综述:项目全年预算数为53.48万元,执行数为53.48万元,完成预算100%。主要产出和效益:一是经济成本指标:救助管理机构经费使用限额10.28万元、4名公益性岗位人员经费使用限额24万元、包干补差人员经费使用限额15万元、未成年人校外心理辅导站运行经费使用限额4.2万元。二是数量指标:开展服务对象关爱活动次数2次、校外心理辅导站坐班专家12人、心理健康家庭教育沙龙活动12次、心理健康工作团队培训24次。三是质量指标:资金使用合规率100%。四是时效指标:工作完成时限当年12月底前。五是社会效益指标:建立健全站内管理制度,完善社会救助制度,完善救助社会体制保障救助及未保工作开展,保障对象基本生活权利,保障职工基本权益,维护社会和谐稳定。六是服务对象满意度指标:服务对象满意度94%。
22.城市流浪乞讨人员救助经费项目绩效自评综述:项目全年预算数为139.78万元,执行数为99.48万元,完成预算71.2%。主要产出和效益:一是经济成本指标:主动救助21.48万元、生活救助4.5万元、医疗救助3.3万元、教育矫治0.5万元、返乡救助13.2万元、临时安置(含政府购买服务)56.5万元。二是数量指标:流浪乞讨人员救助人次431人次、临时救助人数403人次、开展专项救助活动次数3次。三是质量指标:资金使用合规率100%。四是时效指标:救助流浪乞讨人员完成及时率100%。五是社会效益指标:保工作完成时限当年12月底前。六是服务对象满意度指标:服务对象满意度100%。
23.未成年人保护中心经费项目绩效自评综述:项目全年预算数为88.6万元,执行数为84.36万元,完成预算95.2%。主要产出和效益:一是经济成本指标:困境未成年人精准帮扶发展示范项目购买服务34.8万元、“六一”、寒暑假、春节等节假日未成年人关爱服务活动11万元、开展未成年人走访慰问9.96万元、未成年人保护宣传活动12万元、未成年人校外心理辅导购买服务项目10万元、开展家庭教育、儿童主任能力提升活动6.6万元。二是数量指标:摸底全市困境儿童人数625人、困境未成年人精准帮扶人数602人、开展儿童主任培训次数1次、开展常年性走访慰问活动次数2次、校外心理辅导人次130人次、开展关爱活动次数2次。三是质量指标:资金使用合规率100%。四是时效指标:工作完成时限当年12月底前。五是社会效益指标:改善儿童学习、生活、成长环境,促进农村留守、困境儿童健康成长、维护未成年人合法权益。六是服务对象满意度指标:服务对象满意度95%。
24.免除城乡低保等特殊困难对象基本殡葬服务费用项目绩效自评综述:项目全年预算数为68万元,执行数为79.38万元,完成预算116.7%。主要产出和效益:一是数量指标:免除殡葬服务费人数全年实际完成1040人。二是质量指标:严格按照《市人民政府关于推进预算绩效管理的实施意见》(潜政发〔2013〕44号)文件及市物价部门核定的殡葬标准减免,年终由市财政补贴;减免服务对象准确率100%。三是时效指标:项目执行周期为2023年11月-2024年10月。四是成本指标:全年免除城乡低保等特殊困难对象基本殡葬服务费用119.2855万元;特殊困难对象基本殡葬服务办公经费10万元。五是效益指标:让逝者得到安息,保护生态环境,促进社会和谐稳定,保障社会公共服务均等化。六是满意度指标:通过对城乡低保等特殊困难对象基本殡葬服务费用的减免,让困难群众感受到党的温暖,社会公众满意度达到100%。
25.无名尸火化费项目绩效自评综述:项目全年预算数为18万元,执行数为18万元,完成预算100%。主要产出和效益:一是数量指标:2024年共处理无名尸3具,绩效指标完成率100%。二是时效指标:2024年全无名尸3具,3具公安局均已出具证明火化。无名尸火化及时性完成率100%。具体情况为:2021年8月26日,王场派出所送无名尸一具,2024年6月20日火化。2024年1月1日至2024年6月20日,停放时间5.71个月,约4114小时,总费用6.334万元,其中:冷藏费6.171万元,火化费0.113万元,车费0.05万元。2023年2月20日,王场派出所送无名尸一具,2024年6月20日火化。2024年1月1日至2024年6月20日,停放时间5.71个月,约4114小时,总费用6.321万元,其中:冷藏费6.171万元,火化费0.1万元,车费0.05万元。2023年6月4日高石碑派出所送无名尸一具,2024年7月18日火化。2024年1月1日至2024年7月18日,停放时间6.65个月,约4786小时,总费用7.329万元,其中:冷藏费7.179万元,火化费0.1万元,车费0.05万元。三是质量指标:市殡仪馆对无名尸建立了严格的识别与处理流程,通过医学检查、DNA对比、指纹对比等手段,尽可能确定死者身份。对于无法立即确认身份的遗体,市殡仪馆进行妥善的冷冻保存,确保遗体完整性,无名尸处理工作合规率100%。四是成本指标:全年发生费用19.984万元,其中财政拨款18万元,单位资金1.984万元。成本控制率100%。五是效益指标:在无名尸接收,处理家属联系等方面均取得了积极进展,有效维护了社会公序良俗。同时殡仪馆在项目管理和成本控制方面也取得了不俗的成绩。
26.婚姻登记机构管理工作经费项目绩效自评综述:项目全年预算数为22.05万元,执行数为22.05万元,完成预算100%。主要产出和效益:一是数量指标:①服务结婚、离婚登记工作人员数12人,②结婚登记4457对,③离婚登记2859对,④离婚申请2859对,⑤查询婚姻档案3134多份,⑥瑕疵婚姻处理6件。二是时效指标:经费使用时效2024年。三是质量指标:经费使用合规率100%。四是成本指标:成本控制率≤100%,2024年支出22.05万元其中:办公费3万元,印刷费邮电费0.3万元,差旅费1万元,水费0.1万元,电费0.1万元,劳务费0.9万元,邮电费0.2万元,公务接待0.3万元,委托业务费8.06万元,维修费1万元,福利费0.5万元,工会经费0.95万元,办公设备购置费5.64万元。五是社会效益指标:为广大婚姻当事人提供婚姻登记服务。六是服务对象满意指标:登记服务工作满意度100%。登记服务工作发放问卷调查表50份,满意50份,满意度为100%。
(三)绩效评价结果应用情况。
部门绩效评价结果应用情况。至部门决算公开,本部门加强项目规划、强化绩效目标管理、完善项目分配办法和管理办法、加强项目管理、结果与预算安排相结合,将绩效评价结果充分应用。
部门绩效评价结果拟应用情况。在今后的项目绩效目标设定中,需进一步科学编制目标值,根据绩效目标合理编制预算,严格执行预算,加快资金拨付,规范票据使用,提高服务基层质量,确保项目资金绩效目标顺利实现。
潜江市项目支出绩效目标评分表 | |||||||||
填报单位:潜江市民政局 | 主管部门:潜江市民政局 | 日期:2025.3.8 | |||||||
项目名称 | 民政事务综合管理经费 | 资金总额 | 104.8456 | 实施单位 | 潜江市民政局 | ||||
项目资金 | 年初预算批复数(A) | 全年执行数(B) | 分值 | 执行率(B÷A) | 自评分(每增减5%扣1分,扣完为止) | 考评评分 | |||
当年本级财政资金总额 | 104.8456 | 104.8456 | 8 | 100 | 8 | ||||
绩效指标(80分) | 一级指标 | 二级指标 | 三级指标 | 分值 | 年度指标值(A) | 全年实际值(B) | 完成率(B÷A) | 自评分 | 考评评分 |
成本指标(15分) | 经济成本指标 (15分) | 经费使用限额 | 15 | 104.8456 | 104.8456 | 100 | 15 | ||
产出指标(40分) | 数量指标(20分) | 基层民政办个数 | 5 | 24个 | 24个 | 100 | 5 | ||
慈善总会 | 5 | 1家 | 1家 | 100 | 5 | ||||
社区 | 5 | 1家 | 1家 | 100 | 5 | ||||
勘界档案整理份数 | 5 | ≥3824份 | 3824份 | 100 | 5 | ||||
质量指标(10分) | 经费使用合规率 | 10 | 100 | 100 | 100 | 10 | |||
时效指标(10分) | 项目完成时间 | 10 | 当年12月底前 | 当年12月底前 | 100 | 10 | |||
效益指标(20分) | 社会效益(20分) | 保障单位正常运转 | 20 | 保障 | 保障 | 100 | 20 | ||
满意度指标(5分) | 服务对象满意度指标(5分) | 民政服务对象满意度 | 5 | 90 | 90 | 100 | 5 | ||
绩效报告或绩效评价报告(12分) | 报告上报时间(4分) | 分值 | 自评分 | 考评 | |||||
按时上报 | 未按时 | 未上报 | |||||||
4分 | 2分 | 0分 | 4 | ||||||
报告质量(8分) | 分值 | 自评分 | 考评评分 | ||||||
格式规范 | 内容完整 | 佐证资料齐全 | |||||||
2分 | 2分 | 4分 | 8 | ||||||
合计 | 100 | ||||||||
潜江市项目支出绩效目标评分表 | |||||||||
填报单位: 潜江市社会组织管理局 | 主管部门:潜江市民政局 | 日期:2025.2.19 | |||||||
项目名称 | 社会组织法人离任、注销清算审计 | 资金总额 | 3.15万元 | 实施单位 | 潜江市民政局 | ||||
项目资金(8分) | 年初预算数(A) | 全年执行数(B) | 分值 | 执行率(B÷A) | 自评分(每增减5%扣1分,扣完为止) | 考评评分 | |||
当年本级财政资金总额 | 3.15万元 | 3.15万元 | 8 | 100% | 8 | ||||
绩效指标(80分) | 一级指标 | 二级指标 | 三级指标 | 分值 | 年度指标值(A) | 全年实际值(B) | 完成率(B÷A) | 自评分 | 考评评分 |
成本指标(10分) | 经济成本指标(10分) | 经费使用限额 | 10 | 3.15万元 | 3.15万元 | 100% | 10 | ||
产出指标(40分) | 数量指标(20分) | 审计社会组织数量 | 20 | 25 | 20 | 80% | 18 | ||
质量指标(10分) | 经费使用合规率 | 10 | 100% | 100% | 100% | 10 | |||
时效指标(10分) | 审计工作完成时间 | 10 | 2024年底 | 2024年底 | 2024年底 | 10 | |||
效益指标(20分) | 社会效益指标(20分) | 促进社会组织健康发展 | 20 | 促进 | 促进 | 100% | 20 | ||
满意度指标(10分) | 服务对象满意度(10分) | 社会组织满意度 | 10 | ≥95% | 100% | 100% | 10 | ||
绩效报告或绩效评价报告(12分) | 报告上报时间(4分) | 分值 | 自评分 | 考评 | |||||
按时上报 | 未按时上报 | 未上报 | 按时上报 | ||||||
4分 | 2分 | 0分 | 4分 | ||||||
报告质量(8分) | 分值 | 自评分 | 考评评分 | ||||||
格式规范 | 内容完整 | 佐证资料齐全 | |||||||
2分 | 2分 | 4分 | 8分 | ||||||
合计 | 98分 | ||||||||
潜江市项目支出绩效目标评分表 | |||||||||
填报单位:潜江市民政局 | 主管部门:养老服务科 | 日期:2025.2.25 | |||||||
项目名称 | 高龄津贴 | 资金总额 | 1606.6万元 | 实施单位 | 市民政局 | ||||
项目资金 | 年初预算批复数(A) | 全年执行数(B) | 分值 | 执行率(B÷A) | 自评分(每增减5%扣1分,扣完为止) | 考评评分 | |||
当年本级财政资金总额 | 1606.6万元 | 1722.164万元 | 8 | 100% | 8 | ||||
绩效指标(80分) | 一级指标 | 二级指标 | 三级指标 | 分值 | 年度指标值(A) | 全年实际值(B) | 完成率(B÷A) | 自评分 | 考评评分 |
产出指标(50分) | 数量指标(30分)... | 80-89岁发放人数 | 10 | ≤23926人 | 24454 | 100% | 10 | ||
90-99岁发放人数 | 10 | ≤2456人 | 22835 | 100% | 10 | ||||
100岁及以上发放人 | 10 | ≤35人 | 37 | 100% | 10 | ||||
质量指标(6分)... | 高龄津贴发放程序例规性 | 6 | 合规 | 合规 | 100% | 6 | |||
时效指标(7分)... | 高龄津贴发放时间 | 7 | 每月发放一次 | 每月发放一次 | 100% | 7 | |||
成本指标(7分)... | 高龄津贴发放金额 | 10 | ≤1606.6万元 | 1722.164万元 | 100% | 7 | |||
效益指标(30分) | 社会效益(15分) | 高龄老人津贴发放覆盖率 | 10 | 100% | 100% | 100% | 15 | ||
经济效益(10分) | 增强老人幸福指数 | 5 | 增强 | 增强 | 100% | 10 | |||
生态效益(5分) | 促进老有所依,老有所养 | 5 | 促进 | 促进 | 100% | 5 | |||
绩效报告或绩效评价报告(12分) | 报告上报时间(4分) | 分值 | 自评分 | 考评 | |||||
按时上报 | 未按时 | 未上报 | 按时上报 | ||||||
4分 | 2分 | 0分 | 4 | ||||||
报告质量(8分) | 分值 | 自评分 | 考评评分 | ||||||
格式规范 | 内容完整 | 佐证资料齐全 | 格式规范、内容完整、佐证资料齐 | ||||||
2分 | 2分 | 4分 | 8 | ||||||
合计 | 100 | ||||||||
潜江市项目支出绩效目标评分表 | |||||||||
填报单位:潜江市民政局 | 主管部门:养老服务科 | 日期:2025.2.25 | |||||||
项目名称 | 社会救济对象生活补助经费 | 资金总额 | 33.01万元 | 实施单位 | 市民政局 | ||||
项目资金 | 年初预算批复数(A) | 全年执行数 | 分值 | 执行率 | 自评分(每增减5%扣1分,扣完为止) | 考评评分 | |||
当年本级财政 | 33.01万元 | 25.67万元 | 8 | 100% | 8 | ||||
绩效指标(80分) | 一级 | 二级 | 三级 | 分值 | 年度指标值 | 全年实际值 | 完成率 | 自评 | 考评 |
产出指标 | 数量指标 | 六十年代精减退职职工救济对象 | 15 | ≤24人 | 23人 | 100% | 15 | ||
隐消干部救济对象 | 15 | ≤11人 | 12人 | 100% | 15 | ||||
质量指标 | 按标准发放 | 6 | 六十年代精简退职职工656元/月,隐消 干部567元/月 | 六十年代精简退职职工656元/月,隐消 干部567元/月 | 100% | 6 | |||
时效指标(7分) | 资金发放时间 | 7 | 按季度发放 | 按月发放 | 100% | 7 | |||
成本指标 | 救济资金发放金额 | 7 | ≤33.01万元 | 25.67万元 | 100% | 7 | |||
效益指标 | 社会效益(15分) | 改善服务对象生活条件 | 15 | 改善 | 改善 | 100% | 15 | ||
可持续发展指标(15分) | 切实保障社会救济对象合法权益,维护社会稳定 | 15 | 可持续 | 可持续 | 100% | 15 | |||
绩效报告或绩效评价报告(12分) | 报告上报时间(4分) | 分值 | 自评分 | 考评 | |||||
按时上报 | 未按时 | 未上报 | 按时上报 | ||||||
4分 | 2分 | 0分 | 4 | ||||||
报告质量(8分) | 分值 | 自评分 | 考评评分 | ||||||
格式规范 | 内容完整 | 佐证资料齐全 | 格式规范、内容 | ||||||
2分 | 2分 | 4分 | 8 | ||||||
合计 | 100 | ||||||||
潜江市项目支出绩效目标评分表 | |||||||||
填报单位:潜江市养老服务指导中心 主管部门:潜江市民政局 日期:2025年2月18日 | |||||||||
项目名称 | 农村福利院工作人员经费 | 资金总额 | 204万元 | 实施单位 | 潜江市民政局 | ||||
项目资金 | 年初预算批复数(A) | 全年执行数(B) | 分值 | 执行率(B÷A) | 自评分(每增减5%扣1分,扣完为止) | 考评评分 | |||
当年本级财政资金总额 | 204 | 204 | 8 | 100% | 8 | ||||
绩效指标(80分) | 一级指标 | 二级指标 | 三级指标 | 分值 | 年度指标值(A) | 全年实际值(B) | 完成率(B÷A) | 自评分 | 考评评分 |
产出指标(50分) | 数量指标(30分) | 保证正常运转的农村福利院个数 | 30 | 13 | 13 | 100% | 30 | ||
质量指标(6分) | 资金发放合规率 | 6 | 100% | 100% | 100% | 6 | |||
时效指标(7分) | 发放时间 | 7 | 2024年前 | 2024年前 | 100% | 7 | |||
成本指标(7分) | 资金使用限额 | 7 | ≤204万元 | ≤204万元 | 100% | 7 | |||
效益指标(15分) | 社会效益(15分) | 完善社会保障体系,维护社会和谐稳定 | 15 | 符合 | 符合 | 100% | 15 | ||
满意度指标(15分) | 服务对象满意度(15分) | 服务对象满意度 | 15 | 95% | 100% | 100% | 15 | ||
绩效报告或绩效评价报告(12分) | 报告上报时间(4分) | 分值 | 自评分 | 考评 | |||||
按时上报 | 未按时 | 未上报 | 按时上报 | ||||||
4分 | 2分 | 0分 | 4分 | ||||||
报告质量(8分) | 分值 | 自评分 | 考评评分 | ||||||
格式规范 | 内容完整 | 佐证资料齐全 | 格式规范、内容完整 | ||||||
2分 | 2分 | 4分 | 8分 | ||||||
合计 | 100分 | ||||||||
潜江市项目支出绩效目标评分表 | |||||||||
填报单位: 社会事务科 | 主管部门:潜江市民政局 | 日期:2025年2月21日 | |||||||
项目名称 | 残疾人两项补贴 | 资金总额 | 1730 | 实施单位 | 潜江市民政局 | ||||
项目资金(8分) | 年初预算数(A) | 全年执行数(B) | 分值 | 执行率(B÷A) | 自评分(每增减5%扣1分,扣完为止) | 考评评分 | |||
当年本级财政资金总额 | 1730 | 2229.24 | 8 | 129% | 8 | ||||
绩效指标(80分) | 一级指标 | 二级指标 | 三级指标 | 分值 | 年初指标值(A) | 实际完成 值(B) | 完成率(B÷A) | 自评分 | 考评评分 |
成本指标(8分 | 社会成本指标(8分) | 经费使用限额 | 8 | ≦1730万元 | 2229.24万元 | 100% | 8 | ||
产出指标(40分) | 数量指标(20分) | 困难残疾人生活补贴 | 10 | ≥7200人 | 7476人 | 100% | 10 | ||
重度残疾人护理补贴 | 10 | ≥12200人 | 12621人 | 100% | 10 | ||||
质量指标(10分) | 资金使用合格率 | 10 | 100% | 100% | 100% | 10 | |||
时效指标(10分) | 项目完成时间 | 10 | 当年年底前 | 当年年底前 | 100% | 10 | |||
效益指标(30分) | 社会效益(30分) | 增强残疾人生活幸福感 | 30 | 增强 | 增强 | 100% | 30 | ||
满意度指标(2分) | 服务对象满意度(2分) | 残疾人满意度 | 2 | 满意 | 满意 | 100% | 2 | ||
绩效报告或绩效评价报告(12分) | 报告上报时间(4分) | 分值 | 自评分 | 考评 | |||||
按时上报 | 未按时上报 | 未上报 | |||||||
4分 | 2分 | 0分 | 4分 | ||||||
报告质量(8分) | 分值 | 自评分 | 考评评分 | ||||||
格式规范 | 内容完整 | 佐证资料齐全 | |||||||
2分 | 2分 | 4分 | 8分 | ||||||
合计 | 100分 | ||||||||
潜江市项目支出绩效目标评分表 | |||||||||
填报单位:潜江市民政局养老服务科 主管部门:潜江市民政局 日期:2025年2月27日 | |||||||||
项目名称 | 省级养老服务体系建设资金 | 资金总额 | 534.889318万元 | 实施单位 | 潜江市民政局 | ||||
项目资金 | 年初预算批复数(A) | 全年执行数(B) | 分值 | 执行率(B÷A) | 自评分(每增减5%扣1分,扣完为止) | 考评评分 | |||
当年本级财政资金总额 | 534.889318 | 270.84 | 8 | 50% | 5 | ||||
绩效指标(80分) | 一级指标 | 二级指标 | 三级指标 | 分值 | 年度指标值(A) | 全年实际值(B) | 完成率(B÷A) | 自评分 | 考评评分 |
成本指标 | 经济成本指标 | 资金使用限额 | 10 | ≤534.889318万元 | 270.84万元 | 50% | 5 | ||
产出指标(50分) | 数量指标(30分) | 建设街道层面社区综合养老服务机构项目个数 | 10 | 2个 | 1个 | 50% | 5 | ||
农村互助照料活动中心提档升级项目个数 | 10 | 2个 | 2个 | 100% | 10 | ||||
特殊困难老年人居家适老化改造户数 | 10 | ≥180户 | 181户 | 100% | 10 | ||||
质量指标(20分) | 养老机构护理型养老床位数的比例 | 60% | 60% | 100% | 100% | 10 | |||
效益指标(15分) | 社会效益(15分) | 提升养老服务能力 | 15 | 符合 | 符合 | 100% | 15 | ||
满意度指标(15分) | 服务对象满意度(15分) | 服务对象满意度 | 15 | ≥95% | 100% | 100% | 15 | ||
绩效报告或绩效评价报告(12分) | 报告上报时间(4分) | 分值 | 自评分 | 考评 | |||||
按时上报 | 未按时 | 未上报 | 按时上报 | ||||||
4分 | 2分 | 0分 | 4分 | ||||||
报告质量(8分) | 分值 | 自评分 | 考评评分 | ||||||
格式规范 | 内容完整 | 佐证资料齐全 | 格式规范、内容完整 | ||||||
2分 | 2分 | 4分 | 8分 | ||||||
合计 | 100分 | ||||||||
潜江市项目支出绩效目标评分表 | |||||||||
填报单位:儿童福利科 | 主管部门:潜江市民政局 | 日期:2025年2月24日 | |||||||
项目名称 | 孤儿基本生活保障及事实无人抚养儿童生活补贴 | 资金总额 | 443.46万元 | 实施单位 | 市民政局儿童福利科 | ||||
项目资金(8分) | 年初预算数(A) | 全年执行数(B) | 分值 | 执行率(B÷A) | 自评分(每增减5%扣1分,扣完为止) | 考评评分 | |||
当年本级财政资金总额 | 443.46 | 343.15 | 8 | 77% | 6 | ||||
绩效指标(80分) | 一级指标 | 二级指标 | 三级指标 | 分值 | 年初指标值(A) | 实际完成 值(B) | 完成率(B÷A) | 自评分 | 考评评分 |
成本指标(8分) | 经济成本指标(8分) | 资金发放 | 8 | 443.46万元 | 343.15万元 | 77% | 6 | ||
产出指标(40分) | 数量指标(20分) | 孤儿人数 | 7 | ≥31人 | 29人 | 93% | 6 | ||
事实无人抚养儿童人数 | 7 | ≥182人 | 197人 | 108% | 6 | ||||
家庭寄养人数 | 6 | ≥6人 | 6人 | 100% | 6 | ||||
质量指标(10分) | 经费使用合规率 | 10 | 100% | 100% | 100% | 10 | |||
时效指标(10分) | 项目完成时间 | 10 | 当年年底 | 当年年底 | 100% | 10 | |||
效益指标(30分) | 社会效益(30分) | 提升孤儿及事实儿童基本生活保障 | 30 | 实现 | 实现 | 100% | 30 | ||
满意度指标(2分) | 服务对象满意度(2分) | 服务对象满意度 | 2 | ≥95% | ≥95% | 100% | 2 | ||
绩效报告或绩效评价报告(12分) | 报告上报时间(4分) | 分值 | 自评分 | 考评 | |||||
按时上报 | 未按时上报 | 未上报 | |||||||
4分 | 2分 | 0分 | 4 | ||||||
报告质量(8分) | 分值 | 自评分 | 考评评分 | ||||||
格式规范 | 内容完整 | 佐证资料齐全 | |||||||
2分 | 2分 | 4分 | 8 | ||||||
合计 | 94 | ||||||||
潜江市项目支出绩效目标评分表 | |||||||||
填报单位:儿童福利科 | 主管部门:潜江市民政局 | 日期:2025年2月24日 | |||||||
项目名称 | 孤儿及事实无人抚养儿童助学项目 | 资金总额 | 20万元 | 实施单位 | 市民政局儿童福利科 | ||||
项目资金(8分) | 年初预算数(A) | 全年执行数(B) | 分值 | 执行率(B÷A) | 自评分(每增减5%扣1分,扣完为止) | 考评评分 | |||
当年本级财政资金总额 | 20万元 | 35万元 | 8 | 175% | 5 | ||||
绩效指标(80分) | 一级指标 | 二级指标 | 三级指标 | 分值 | 年初指标值(A) | 实际完成 值(B) | 完成率(B÷A) | 自评分 | 考评评分 |
成本指标(8分) | 经济成本指标(8分) | 经济成本指标 | 8 | 20万元 | 35万元 | 175% | 6 | ||
产出指标(40分) | 数量指标(20分) | 孤儿人数 | 10 | 10人 | 12人 | 120% | 8 | ||
事实无人抚养儿童人数 | 10 | 10人 | 23人 | 230% | 5 | ||||
质量指标(10分) | 经费使用合规率 | 10 | 100% | 100% | 100% | 10 | |||
时效指标(10分) | 项目完成时间 | 10 | 当年年底 | 当年年底 | 100% | 10 | |||
效益指标(30分) | 社会效益(30分) | 提升事实儿童生活保障 | 30 | 提升 | 提升 | 100% | 30 | ||
满意度指标(2分) | 服务对象满意度(2分) | 服务对象满意度 | 2 | 95% | 95% | 95% | 2 | ||
绩效报告或绩效评价报告(12分) | 报告上报时间(4分) | 分值 | 自评分 | 考评 | |||||
按时上报 | 未按时上报 | 未上报 | |||||||
4分 | 2分 | 0分 | 4 | ||||||
报告质量(8分) | 分值 | 自评分 | 考评评分 | ||||||
格式规范 | 内容完整 | 佐证资料齐全 | |||||||
2分 | 2分 | 4分 | 8 | ||||||
合计 | 88 | ||||||||
潜江市项目支出绩效目标评分表 | |||||||||
填报单位:儿童福利科 | 主管部门:潜江市民政局 | 日期:2025年2月24日 | |||||||
项目名称 | 收养评估经费 | 资金总额 | 3.6万元 | 实施单位 | 市民政局儿童福利科 | ||||
项目资金(8分) | 年初预算数(A) | 全年执行数(B) | 分值 | 执行率(B÷A) | 自评分(每增减5%扣1分,扣完为止) | 考评评分 | |||
当年本级财政资金总额 | 3.6万元 | 0.78万元 | 8 | 22% | 6 | ||||
绩效指标(80分) | 一级指标 | 二级指标 | 三级指标 | 分值 | 年初指标值(A) | 实际完成 值(B) | 完成率(B÷A) | 自评分 | 考评评分 |
成本指标(8分) | 经济成本指标(8分) | 经济成本指标 | 8 | ≤3.6万元 | 0.78万元 | 22.00% | 6 | ||
产出指标(40分) | 数量指标(20分) | 评估家庭数 | 10 | ≥10个 | 4个 | 40% | 8 | ||
弃婴公告数 | 10 | ≥6次 | 1次 | 16% | 8 | ||||
质量指标(10分) | 经费使用合规率 | 10 | 100% | 100% | 100% | 10 | |||
时效指标(10分) | 项目完成时间 | 10 | 当年年底前 | 当年年底前 | 100% | 10 | |||
效益指标(30分) | 社会效益(30分) | 提升保障儿童合法权益 | 30 | 实现 | 实现 | 100% | 30 | ||
满意度指标(2分) | 服务对象满意度(2分) | 服务对象满意度 | 2 | ≥95% | ≥95% | ≥95% | 2 | ||
绩效报告或绩效评价报告(12分) | 报告上报时间(4分) | 分值 | 自评分 | 考评 | |||||
按时上报 | 未按时上报 | 未上报 | |||||||
4分 | 2分 | 0分 | 4 | ||||||
报告质量(8分) | 分值 | 自评分 | 考评评分 | ||||||
格式规范 | 内容完整 | 佐证资料齐全 | |||||||
2分 | 2分 | 4分 | 8 | ||||||
合计 | 92 | ||||||||
潜江市项目支出绩效目标评分表 | |||||||||
填报单位:潜江市民政局 | 主管部门:区划地名科 | 日期:2025.2.19 | |||||||
项目名称 | 道路命名及路牌安装维护费 | 资金总额 | 3.941万元 | 实施单位 | 潜江市民政局 | ||||
项目资金(8分) | 年初预算数(A) | 全年执行数(B) | 分值 | 执行率(B÷A) | 自评分(每增减5%扣1分,扣完为止) | 考评评分 | |||
当年本级财政资金总额 | 3.941万元 | 11.695万元 | 8 | ≥100% | 8 | ||||
绩效指标(80分) | 一级指标 | 二级指标 | 三级指标 | 分值 | 年初指标值(A) | 实际完成值(B) | 完成率(B÷A) | 自评分 | 考评评分 |
成本指标(8分) | 经济成本指标(8分) | 经费使用限额 | 8 | 3.941万元 | 11.695万元 | 100% | 8 | ||
产出指标(40分) | 数量指标(20分) | 道路命名 | 10 | ≧20条 | 33条 | 100% | 10 | ||
新制作路牌安装 | 5 | ≧30个 | 71个 | 100% | 5 | ||||
损毁路牌维护 | 5 | ≧40个 | 72个 | 100% | 5 | ||||
质量指标(10分) | 经费使用 | 10 | 100% | 100% | 100% | 10 | |||
时效指标(10分) | 项目完成时间 | 10 | 100% | 当年年底前完成 | 100% | 10 | |||
效益指标(30分) | 社会效益(30分) | 明确道路方位,方便群众生产生活,提升基层社会治理水平 | 30 | 符合要求 | 符合要求 | 100% | 30 | ||
满意度指标(2分) | 服务对象满意度(2分) | 服务对象满意度 | 2 | ≥95% | ≥95% | 100% | 2 | ||
绩效报告或绩效评价报告(12分) | 报告上报时间(4分) | 分值 | 自评分 | 考评 | |||||
按时上报 | 未按时上报 | 未上报 | |||||||
4分 | 2分 | 0分 | 4 | ||||||
报告质量(8分) | 分值 | 自评分 | 考评评分 | ||||||
格式规范 | 内容完整 | 佐证资料齐全 | |||||||
2分 | 2分 | 4分 | 8 | ||||||
合计 | 100 | ||||||||
潜江市项目支出绩效目标评分表 | |||||||||
填报单位:社会事务科 主管部门:潜江市民政局 日期:2025年2月24日 | |||||||||
项目名称 | 省级社会事务补助资金 | 资金总额 | 10万 | 实施单位 | 潜江市民政局 | ||||
项目资金(8分) | 年初预算数(A) | 全年执行数(B) | 分值 | 执行率(B÷A) | 自评分(每增减5%扣1分,扣完为止) | 考评评分 | |||
当年本级财政资金总额 | 337.5 | 10 | 8 | 3.00% | 4 | ||||
绩效指标(80分) | 一级指标 | 二级指标 | 三级指标 | 分值 | 年初指标值(A) | 实际完成 值(B) | 完成率(B÷A) | 自评分 | 考评评分 |
成本指标(8分) | 经济成本指标(4分) | 补助经费使用限额 | 4 | 337.5万元 | 10万 | 3.00% | 2 | ||
产出指标(40分) | 数量指标(20分) | 公墓覆盖行政村数量 | 20 | 5个 | 1个 | 20% | 16 | ||
质量指标(10分) | 经费使用合格率 | 10 | 100% | 100% | 100% | 10 | |||
时效指标(10分) | 项目完成时间 | 10 | 当年年底前 | 当年年底 | 100% | 10 | |||
效益指标(30分) | 社会效益(15分) | 改善村居环境,降低丧葬成本,推进殡葬改革新风 | 15 | 实现 | 实现 | 100% | 15 | ||
满意度指标(2分) | 服务对象满意度(2分) | 服务对象满意度 | 2 | ≧95% | ≧95% | 100% | 2 | ||
绩效报告或绩效评价报告(12分) | 报告上报时间(4分) | 分值 | 自评分 | 考评 | |||||
按时上报 | 未按时上报 | 未上报 | |||||||
4分 | 2分 | 0分 | 4 | ||||||
报告质量(8分) | 分值 | 自评分 | 考评评分 | ||||||
格式规范 | 内容完整 | 佐证资料齐全 | |||||||
2分 | 2分 | 4分 | 8 | ||||||
合计 | |||||||||
潜江市项目支出绩效目标评分表 | |||||||||
填报单位: 潜江市社会福利院 | 主管部门:潜江市民政局 | 日期:2024年10月17日 | |||||||
项目名称 | 社会福利院安全隐患设施改造和添置设施设备项目 | 资金总额 | 100万元 | 实施单位 | 潜江市社会福利院 | ||||
项目资金 | 年初预算批复数(A) | 全年执行数(B) | 分值 | 执行率(B÷A) | 自评分(每增减5%扣1分,扣完为止) | 考评评分 | |||
当年本级财政资金总额 | 100万元 | 99.099万元 | 8 | 100% | 8 | ||||
绩效指标(80分) | 一级指标 | 二级指标 | 三级指标 | 分值 | 年度指标值(A) | 全年实际值(B) | 完成率(B÷A) | 自评分 | 考评评分 |
成本指标 | 经济成本指标 (15分) | 资金使用限额 | 15 | 100万元 | 99.099万元 | 100% | 15 | ||
产出指标 | 数量指标 | 消防水池及泵房修建 | 20 | ≥127.44㎡ | 127.44㎡ | 100% | 20 | ||
院内花坛改造 | ≥671㎡ | 671㎡ | 100% | ||||||
康复设施设备添置 | ≥40套 | 40套 | 100% | ||||||
院民床床垫 | ≥130张 | 130张 | 100% | ||||||
质量指标(10分) | 资金使用合规率 | 10 | 100% | 100% | 100% | 10 | |||
时效指标(10分) | 项目完成时间 | 10 | 2024年12月底 | 2024年12月底 | 100% | 10 | |||
效益指标 | 社会效益(20分) | 及时处理各类安全隐患,提档升级设施设备,保障服务对象安全 | 20 | 达到 | 达到 | 100% | 20 | ||
满意度指标(5分) | 服务对象满意度指标(5分) | 服务对象满意度 | 5 | ≥95% | 95% | 100% | 5 | ||
绩效报告或绩效评价报告(12分) | 报告上报时间(4分) | 分值 | 自评分 | 考评 | |||||
按时上报 | 未按时 | 未上报 | 按时上报 | ||||||
4分 | 2分 | 0分 | 4 | ||||||
报告质量(8分) | 分值 | 自评分 | 考评评分 | ||||||
格式规范 | 内容完整 | 佐证资料齐全 | 格式规范、内容完整、佐证材料齐全 | ||||||
2分 | 2分 | 4分 | 8 | ||||||
合计 | 100 | ||||||||
潜江市项目支出绩效目标评分表 | |||||||||
填报单位: 潜江市社会福利院 | 主管部门:潜江市民政局 | 日期:2024年10月17日 | |||||||
项目名称 | 社会福利院基础设施改造建设项目 | 资金总额 | 107.69万元 | 实施单位 | 潜江市社会福利院 | ||||
项目资金 | 年初预算批复数(A) | 全年执行数(B) | 分值 | 执行率(B÷A) | 自评分(每增减5%扣1分,扣完为止) | 考评评分 | |||
当年本级财政资金总额 | 107.69万元 | 107.69万元 | 8 | 100% | 8 | ||||
绩效指标(80分) | 一级指标 | 二级指标 | 三级指标 | 分值 | 年度指标值(A) | 全年实际值(B) | 完成率(B÷A) | 自评分 | 考评评分 |
成本指标 | 经济成本指标 (15分) | 资金使用限额 | 15 | 107.69万元 | 107.69万元 | 100% | 15 | ||
产出指标 | 数量指标 | 福康楼,福寿楼消防喷淋及设施改建 | 20 | ≥4281㎡ | 4281㎡ | 100% | 20 | ||
钢制消防疏散楼梯 | ≥1部 | 1部 | 100% | ||||||
透视围墙 | ≥82.1米 | 82.1米 | 100% | ||||||
安装高清摄像及智能车牌识别系统 | ≥1套 | 1套 | 100% | ||||||
质量指标(10分) | 资金使用合规率 | 10 | 100% | 100% | 100% | 10 | |||
时效指标(10分) | 项目完成时间 | 10 | 2024年12月底 | 2024年12月底 | 100% | 10 | |||
效益指标 | 社会效益(20分) | 及时处理各类安全隐患,保障服务对象安全 | 20 | 达到 | 达到 | 100% | 20 | ||
满意度指标(5分) | 服务对象满意度指标(5分) | 服务对象满意度 | 5 | ≥95% | 95% | 100 | 5 | ||
绩效报告或绩效评价报告(12分) | 报告上报时间(4分) | 分值 | 自评分 | 考评 | |||||
按时上报 | 未按时 | 未上报 | 按时上报 | ||||||
4分 | 2分 | 0分 | 4 | ||||||
报告质量(8分) | 分值 | 自评分 | 考评评分 | ||||||
格式规范 | 内容完整 | 佐证资料齐全 | 格式规范、内容完整、佐证材料齐全 | ||||||
2分 | 2分 | 4分 | 8 | ||||||
合计 | 100 | ||||||||
潜江市项目支出绩效目标评分表 | |||||||||
填报单位:潜江市社会救助局 | 主管部门: 潜江市民政局 | 日期:2025年2月18日 | |||||||
项目名称 | 综合事务管理经费 | 资金总额 | 37.576万元 | 实施单位 | 潜江市社会救助局 | ||||
项目资金(8分) | 年初预算数(A) | 全年执行数(B) | 分值 | 执行率(B÷A) | 自评分(每增减5%扣1分,扣完为止) | 考评评分 | |||
当年本级财政资金总额 | 37.576 | 37.576 | 8 | 100% | 8 | ||||
绩效指标(80分) | 一级指标 | 二级指标 | 三级指标 | 分值 | 年初指标值(A) | 实际完成 值(B) | 完成率(B÷A) | 自评分 | 考评评分 |
成本指标(8分) | 经济成本指标(8分) | 经费使用限额 | 8 | ≤37.576万元 | 37.576万元 | 100% | 8 | ||
产出指标(40分) | 数量指标(20分) | 服务城乡低保人数 | 3 | ≥22000人 | 26040人 | 100% | 3 | ||
服务城乡特困人数 | 3 | ≥1600人 | 1634人 | 100% | 3 | ||||
核对低保、特困和临时救助对象人数 | 3 | ≥40000人 | 40400人 | 100% | 3 | ||||
服务临时救助人数 | 3 | ≥4600人 | 5459 | 100% | 3 | ||||
核查专项次数 | 3 | ≥50次 | 50次 | 100% | 3 | ||||
乡镇培训次数 | 2 | ≥3次 | 3次 | 100% | 2 | ||||
印制城乡低保政策宣传单 | 3 | ≥30000份 | 40000份 | 100% | 3 | ||||
质量指标(10分) | 资金使用合规率 | 10 | 100% | 100% | 100% | 10 | |||
时效指标(10分) | 工作完成时限 | 10 | 当年12月底前 | 当年12月底前 | 100% | 10 | |||
效益指标(30分) | 社会效益(30分) | 提升全市群众幸福感和获得感 | 30 | 实现 | 实现 | 100% | 30 | ||
满意度指标(2分) | 服务对象满意度(2分) | 服务对象满意度 | 2 | ≥95% | 96% | 100% | 2 | ||
绩效报告或绩效评价报告(12分) | 报告上报时间(4分) | 分值 | 自评分 | 考评 | |||||
按时上报 | 未按时上报 | 未上报 | |||||||
4分 | 2分 | 0分 | 4 | ||||||
报告质量(8分) | 分值 | 自评分 | 考评评分 | ||||||
格式规范 | 内容完整 | 佐证资料齐全 | |||||||
2分 | 2分 | 4分 | 4 | ||||||
合计 | 100 | ||||||||
潜江市项目支出绩效目标评分表 | |||||||||
填报单位:潜江市社会救助局 | 主管部门: 潜江市民政局 | 日期:2025年2月18日 | |||||||
项目名称 | 城市最低生活保障资金 | 资金总额 | 2888万元 | 实施单位 | 潜江市社会救助局 | ||||
项目资金(8分) | 年初预算数(A) | 全年执行数(B) | 分值 | 执行率(B÷A) | 自评分(每增减5%扣1分,扣完为止) | 考评评分 | |||
当年本级财政资金总额 | 2888万元 | 2587万元 | 8 | 100% | 8 | ||||
绩效指标(80分) | 一级指标 | 二级指标 | 三级指标 | 分值 | 年初指标值(A) | 实际完成 值(B) | 完成率(B÷A) | 自评分 | 考评评分 |
成本指标(8分) | 经济成本指标(8分) | 经费使用限额 | 8 | ≤2888万元 | 2587万元 | 100% | 8 | ||
产出指标(40分) | 数量指标(20分) | 服务城低保人数 | 20 | ≥4000人 | 4072人 | 100% | 20 | ||
质量指标(10分) | 资金使用合规率 | 10 | 100% | 100% | 100% | 10 | |||
时效指标(10分) | 工作完成时限 | 10 | 当年12月底前 | 当年12月底前 | 100% | 10 | |||
效益指标(30分) | 社会效益(30分) | 提升全市群众幸福感和获得感 | 30 | 实现 | 实现 | 100% | 30 | ||
满意度指标(2分) | 服务对象满意度(2分) | 服务对象满意度 | 2 | ≥95% | 96% | 100% | 2 | ||
绩效报告或绩效评价报告(12分) | 报告上报时间(4分) | 分值 | 自评分 | 考评 | |||||
按时上报 | 未按时上报 | 未上报 | |||||||
4分 | 2分 | 0分 | 4 | ||||||
报告质量(8分) | 分值 | 自评分 | 考评评分 | ||||||
格式规范 | 内容完整 | 佐证资料齐全 | |||||||
2分 | 2分 | 4分 | 4 | ||||||
合计 | 100 | ||||||||
潜江市项目支出绩效目标评分表 | |||||||||
填报单位:潜江市社会救助局 | 主管部门: 潜江市民政局 | 日期:2025年2月18日 | |||||||
项目名称 | 农村最低生活保障资金 | 资金总额 | 11204万元 | 实施单位 | 潜江市社会救助局 | ||||
项目资金(8分) | 年初预算数(A) | 全年执行数(B) | 分值 | 执行率(B÷A) | 自评分(每增减5%扣1分,扣完为止) | 考评评分 | |||
当年本级财政资金总额 | 11204万元 | 10458万元 | 8 | 100% | 8 | ||||
绩效指标(80分) | 一级指标 | 二级指标 | 三级指标 | 分值 | 年初指标值(A) | 实际完成 值(B) | 完成率(B÷A) | 自评分 | 考评评分 |
成本指标(8分) | 经济成本指标(8分) | 经费使用限额 | 8 | ≤11204万元 | 10458万元 | 100% | 8 | ||
产出指标(40分) | 数量指标(20分) | 服务农低保人数 | 20 | ≥21000人 | 22104人 | 100% | 20 | ||
质量指标(10分) | 资金使用合规率 | 10 | 100% | 100% | 100% | 10 | |||
时效指标(10分) | 工作完成时限 | 10 | 当年12月底前 | 当年12月底前 | 100% | 10 | |||
效益指标(30分) | 社会效益(30分) | 提升全市群众幸福感和获得感 | 30 | 实现 | 实现 | 100% | 30 | ||
满意度指标(2分) | 服务对象满意度(2分) | 服务对象满意度 | 2 | ≥95% | 96% | 100% | 2 | ||
绩效报告或绩效评价报告(12分) | 报告上报时间(4分) | 分值 | 自评分 | 考评 | |||||
按时上报 | 未按时上报 | 未上报 | |||||||
4分 | 2分 | 0分 | 4 | ||||||
报告质量(8分) | 分值 | 自评分 | 考评评分 | ||||||
格式规范 | 内容完整 | 佐证资料齐全 | |||||||
2分 | 2分 | 4分 | 4 | ||||||
合计 | 100 | ||||||||
潜江市项目支出绩效目标评分表 | |||||||||
填报单位: 潜江市社会救助局 | 主管部门: 潜江市民政局 | 日期:2024年2月20日 | |||||||
项目名称 | 特困供养生活补助资金 | 资金总额 | 3453.19 | 实施单位 | 潜江市社会救助局 | ||||
项目资金(8分) | 年初预算数(A) | 全年执行数(B) | 分值 | 执行率(B÷A) | 自评分(每增减5%扣1分,扣完为止) | 考评评分 | |||
当年本级财政资金总额 | 658.99 | 658.99 | 8 | 100% | 8 | ||||
绩效指标(80分) | 一级指标 | 二级指标 | 三级指标 | 分值 | 年初指标值(A) | 实际完成 值(B) | 完成率(B÷A) | 自评分 | 考评评分 |
成本指标(8分) | 经济成本指标(8分) | 项目控制成本 | 8 | ≤3453.19 | 3178.97 | 100% | 8 | ||
产出指标(40分) | 数量指标(20分) | 特困供养人员供养人数 | 20 | ≥1600人 | 1634 | 100% | 20 | ||
质量指标(10分) | 特困供养人员资格认定审核合规率 | 10 | 100% | 100% | 100% | 10 | |||
时效指标(10分) | 项目完成时限 | 10 | 每月10日前发放 | 每月10日前发放 | 100% | 10 | |||
效益指标(30分) | 社会效益(30分) | 保障人员基本生活 | 30 | 实现 | 实现 | 100% | 30 | ||
满意度指标(2分) | 服务对象满意度(2分) | 特困人员满意度指标 | 2 | 98% | 98% | 98% | 2 | ||
绩效报告或绩效评价报告(12分) | 报告上报时间(4分) | 分值 | 自评分 | 考评 | |||||
按时上报 | 未按时上报 | 未上报 | 按时上报 | ||||||
4分 | 2分 | 0分 | 4分 | ||||||
报告质量(8分) | 分值 | 自评分 | 考评评分 | ||||||
格式规范 | 内容完整 | 佐证资料齐全 | 佐证资料齐全 | ||||||
2分 | 2分 | 4分 | 8分 | ||||||
合计 | 100分 | ||||||||
潜江市项目支出绩效目标评分表 | |||||||||
填报单位:潜江市社会救助局 | 主管部门: 潜江市民政局 | 日期:2025年2月20日 | |||||||
项目名称 | 临时救助资金 | 资金总额 | 1298.92万元 | 实施单位 | 潜江市社会救助局 | ||||
项目资金(8分) | 年初预算数(A) | 全年执行数(B) | 分值 | 执行率(B÷A) | 自评分(每增减5%扣1分,扣完为止) | 考评评分 | |||
当年本级财政资金总额 | 1298.92万元 | 1202.17万元 | 8 | 93% | 6 | ||||
绩效指标(80分) | 一级指标 | 二级指标 | 三级指标 | 分值 | 年初指标值(A) | 实际完成 值(B) | 完成率(B÷A) | 自评分 | 考评评分 |
成本指标(8分) | 经济成本指标(4分) | 临时救助资金使用限额 | 4 | ≦1298.92 | 1202.17 | 100% | 4 | ||
社会成本指标(2分) | 2 | 2 | |||||||
生态环境成本指标(2分) | 2 | 2 | |||||||
产出指标(40分) | 数量指标(20分) | 临时救助人次 | 20 | ≧4500 | 5459 | 100% | 20 | ||
质量指标(10分) | 资金使用合规率 | 10 | 100% | 100% | 100% | 10 | |||
时效指标(10分) | 工作完成时限 | 10 | 12月底完成 | 12月底完成 | 100% | 10 | |||
效益指标(30分) | 社会效益(15分) | 完善社会救助工作 | 15 | 完善 | 完善 | 100% | 15 | ||
经济效益(10分) | 10 | 10 | |||||||
生态效益(5分) | 5 | 5 | |||||||
满意度指标(2分) | 服务对象满意度(2分) | 服务对象满意度 | 2 | 96% | 100% | 100% | 2 | ||
绩效报告或绩效评价报告(12分) | 报告上报时间(4分) | 分值 | 自评分 | 考评 | |||||
按时上报 | 未按时上报 | 未上报 | |||||||
4分 | 2分 | 0分 | 4 | ||||||
报告质量(8分) | 分值 | 自评分 | 考评评分 | ||||||
格式规范 | 内容完整 | 佐证资料齐全 | |||||||
2分 | 2分 | 4分 | 8 | ||||||
合计 | 98 | ||||||||
潜江市项目支出绩效目标评分表 | |||||||||
填报单位:潜江市社会救助局 | 主管部门: 潜江市民政局 | 日期:2025年2月18日 | |||||||
项目名称 | 被征地农民生活补助资金 | 资金总额 | 245万元 | 实施单位 | 潜江市社会救助局 | ||||
项目资金(8分) | 年初预算数(A) | 全年执行数(B) | 分值 | 执行率(B÷A) | 自评分(每增减5%扣1分,扣完为止) | 考评评分 | |||
当年本级财政资金总额 | 245万元 | 236万元 | 8 | 100% | 8 | ||||
绩效指标(80分) | 一级指标 | 二级指标 | 三级指标 | 分值 | 年初指标值(A) | 实际完成 值(B) | 完成率(B÷A) | 自评分 | 考评评分 |
成本指标(8分) | 经济成本指标(8分) | 经费使用限额 | 8 | ≤245万元 | 236万元 | 100% | 8 | ||
产出指标(40分) | 数量指标(20分) | 服务农低保人数 | 20 | ≥5000人 | 5032人 | 100% | 20 | ||
质量指标(10分) | 资金使用合规率 | 10 | 100% | 100% | 100% | 10 | |||
时效指标(10分) | 工作完成时限 | 10 | 当年12月底前 | 当年12月底前 | 100% | 10 | |||
效益指标(30分) | 社会效益(30分) | 提升全市群众幸福感和获得感 | 30 | 实现 | 实现 | 100% | 30 | ||
满意度指标(2分) | 服务对象满意度(2分) | 服务对象满意度 | 2 | ≥95% | 96% | 100% | 2 | ||
绩效报告或绩效评价报告(12分) | 报告上报时间(4分) | 分值 | 自评分 | 考评 | |||||
按时上报 | 未按时上报 | 未上报 | |||||||
4分 | 2分 | 0分 | 4 | ||||||
报告质量(8分) | 分值 | 自评分 | 考评评分 | ||||||
格式规范 | 内容完整 | 佐证资料齐全 | |||||||
2分 | 2分 | 4分 | 4 | ||||||
合计 | 100 | ||||||||
潜江市项目支出绩效目标评分表 | |||||||||
填报单位: 潜江市救助管理站 | 主管部门:潜江市民政局 | 日期:2025年2月19日 | |||||||
项目名称 | 综合事务管理经费 | 资金总额 | 53.48万元 | 实施单位 | 53.48万元 | ||||
项目资金(8分) | 年初预算数(A) | 全年执行数(B) | 分值 | 执行率(B÷A) | 自评分(每增减5%扣1分,扣完为止) | 考评评分 | |||
当年本级财政资金总额 | 53.48万元 | 53.48 | 8 | 100% | 8 | 8 | |||
绩效指标(80分) | 一级指标 | 二级指标 | 三级指标 | 分值 | 年初指标值(A) | 实际完成 值(B) | 完成率(B÷A) | 自评分 | 考评评分 |
成本指标(8分) | 经济成本指标(4分) | 救助管理机构经费使用限额 | 4 | ≤10.28万元 | 10.28万元 | 100% | 4 | ||
四名公益性岗位人员经费使用限额 | ≤24.00万元 | 24万元 | |||||||
包干补差经费使用限额 | ≤15万元 | 15万元 | |||||||
未成年人校外心理辅导站运行经费使用限额 | ≤4.2万元 | 4.2万元 | |||||||
社会成本指标(2分) | 4 | 2 | |||||||
生态环境成本指标(2分) | 2 | 2 | |||||||
产出指标(40分) | 数量指标(20分) | 开展服务对象关爱活动次数 | 20 | ≥2次 | 2次 | 100% | 20 | ||
校外心理辅导站坐班专家 | ≥12人 | 12人 | |||||||
心理健康家庭教育沙龙活动 | ≥12次 | 12次 | |||||||
心理健康工作团队培训 | ≥24次 | 24次 | |||||||
质量指标(10分) | 资金使用合规率 | 10 | 100% | 100% | 100% | 10 | |||
时效指标(10分) | 工作完成时限 | 10 | 当年12月底前 | 当年12月底前 | 100% | 10 | |||
效益指标(30分) | 社会效益(15分) | 建立健全站内管理制度,完善社会救助制度,完善救助社会体制保障救助及未保工作开展,保障对象基本生活权利,保障职工基本权益,维护社会和谐稳定。 | 15 | 达到 | 达到 | 100% | 15 | ||
经济效益(10分) | 10 | 10 | |||||||
生态效益(5分) | 5 | 5 | |||||||
满意度指标(2分) | 服务对象满意度(2分) | 服务对象满意度 | 2 | ≥95% | 94% | 98% | 1 | ||
绩效报告或绩效评价报告(12分) | 报告上报时间(4分) | 分值 | 自评分 | 考评 | |||||
按时上报 | 未按时上报 | 未上报 | 按时上报 | ||||||
4分 | 2分 | 0分 | 4 | ||||||
报告质量(8分) | 分值 | 自评分 | 考评评分 | ||||||
格式规范 | 内容完整 | 佐证资料齐全 | 格式规范、内容完整、佐证材料齐全 | ||||||
2分 | 2分 | 4分 | 8 | ||||||
合计 | 99 | ||||||||
潜江市项目支出绩效目标评分表 | |||||||||
填报单位: 潜江市救助管理站 | 主管部门:潜江市民政局 | 日期:2025年2月19日 | |||||||
项目名称 | 城市流浪乞讨人员救助经费 | 资金总额 | 139.78万元 | 实施单位 | 潜江市救助管理站 | ||||
项目资金(8分) | 年初预算数(A) | 全年执行数(B) | 分值 | 执行率(B÷A) | 自评分(每增减5%扣1分,扣完为止) | 考评评分 | |||
当年本级财政资金总额 | 139.78万元 | 99.48万元 | 8 | 71.17% | 3 | ||||
绩效指标(80分) | 一级指标 | 二级指标 | 三级指标 | 分值 | 年初指标值(A) | 实际完成 值(B) | 完成率(B÷A) | 自评分 | 考评评分 |
成本指标(8分) | 经济成本指标(4分) | 主动救助 | 4 | ≤22万元 | 21.48万元 | 71.17% | 1 | ||
生活救助 | ≤9万元 | 4.5万元 | |||||||
医疗救助 | ≤25万元 | 3.3万元 | |||||||
教育矫治 | ≤5.78万元 | 0.5万元 | |||||||
返乡救助 | ≤20万元 | 13.2万元 | |||||||
临时安置(含政府购买服务) | ≤58万元 | 56.5万元 | |||||||
社会成本指标(2分) | 2 | 2 | |||||||
生态环境成本指标(2分) | 2 | 2 | |||||||
产出指标(40分) | 数量指标(20分) | 流浪乞讨人员救助人次 | 20 | ≥450人次 | 431人次 | 96% | 20 | ||
临时救助人数 | ≥300人次 | 403人次 | 100% | ||||||
开展专项救助活动次数 | ≥3次 | 3次 | 100% | ||||||
质量指标(10分) | 资金使用合规率 | 10 | 100% | 100% | 100% | 10 | |||
时效指标(10分) | 工作完成时限 | 10 | 当年12月底前 | 当年12月底前 | 100% | 10 | |||
效益指标(30分) | 社会效益(15分) | 保障流浪乞讨人员基本生存权益、维护城市正常秩序和社会稳定 | 15 | 达到 | 达到 | 100% | 15 | ||
经济效益(10分) | 10 | 10 | |||||||
生态效益(5分) | 5 | 5 | |||||||
满意度指标(2分) | 服务对象满意度(2分) | 服务对象满意度 | 2 | ≥95% | 98% | 100% | 2 | ||
绩效报告或绩效评价报告(12分) | 报告上报时间(4分) | 分值 | 自评分 | 考评 | |||||
按时上报 | 未按时上报 | 未上报 | 按时上报 | ||||||
4分 | 2分 | 0分 | 4 | ||||||
报告质量(8分) | 分值 | 自评分 | 考评评分 | ||||||
格式规范 | 内容完整 | 佐证资料齐全 | 格式规范、内容完整、佐证材料齐全 | ||||||
2分 | 2分 | 4分 | 8 | ||||||
合计 | 92 | ||||||||
潜江市项目支出绩效目标评分表 | |||||||||
填报单位: 潜江市救助管理站 | 主管部门:潜江市民政局 | 日期:2025年2月19日 | |||||||
项目名称 | 未成年人保护中心经费 | 资金总额 | 88.6万元 | 实施单位 | 潜江市救助管理站 | ||||
项目资金(8分) | 年初预算数(A) | 全年执行数(B) | 分值 | 执行率(B÷A) | 自评分(每增减5%扣1分,扣完为止) | 考评评分 | |||
当年本级财政资金总额 | 88.6 | 84.36 | 8 | 95.21% | 7.5 | ||||
绩效指标(80分) | 一级指标 | 二级指标 | 三级指标 | 分值 | 年初指标值(A) | 实际完成 值(B) | 完成率(B÷A) | 自评分 | 考评评分 |
成本指标(8分) | 经济成本指标(4分) | 困境未成年人精准帮扶发展示范项目购买服务 | 4 | ≤35万元 | 34.8万元 | 95.21% | 3.5 | ||
“六一”、寒暑假、春节等节假日未成年人关爱服务活动 | ≤13万元 | 11万元 | |||||||
开展未成年人走访慰问 | ≤12万元 | 9.96万元 | |||||||
未成年人保护宣传活动 | ≤12万元 | 12万元 | |||||||
未成年人校外心理辅导购买服务项目 | ≤10万元 | 10万元 | |||||||
开展家庭教育、儿童主任能力提升活动 | ≤6.6万元 | 6.6万元 | |||||||
社会成本指标(2分) | 2 | 2 | |||||||
生态环境成本指标(2分) | 2 | 2 | |||||||
产出指标(40分) | 数量指标(20分) | 摸底全市困境儿童人数 | 20 | ≥600人 | 625人 | 104% | 20 | ||
困境未成年人精准帮扶人数 | ≥600人 | 602人 | 100% | ||||||
开展儿童主任培训次数 | ≥1次 | 1次 | 100% | ||||||
开展常年性走访慰问活动次数 | ≥2次 | 2次 | 100% | ||||||
校外心理辅导人次 | ≥98人次 | 130人次 | 100% | ||||||
开展关爱活动次数 | ≥2次 | 2次 | 100% | ||||||
质量指标(10分) | 资金使用合规率 | 10 | 100% | 100% | 100% | 10 | |||
时效指标(10分) | 工作完成时限 | 10 | 当年12月底前 | 当年12月底前 | 100% | 10 | |||
效益指标(30分) | 社会效益(15分) | 改善儿童学习、生活、成长环境,促进农村留守、困境儿童健康成长、维护未成年人合法权益。 | 15 | 达到 | 达到 | 100% | 15 | ||
经济效益(10分) | 10 | 10 | |||||||
生态效益(5分) | 5 | 5 | |||||||
满意度指标(2分) | 服务对象满意度(2分) | 服务对象满意度 | 2 | ≥95% | 95% | 100% | 2 | ||
绩效报告或绩效评价报告(12分) | 报告上报时间(4分) | 分值 | 自评分 | 考评 | |||||
按时上报 | 未按时上报 | 未上报 | 按时上报 | ||||||
4分 | 2分 | 0分 | 4 | ||||||
报告质量(8分) | 分值 | 自评分 | 考评评分 | ||||||
格式规范 | 内容完整 | 佐证资料齐全 | 格式规范、内容完整、佐证材料齐全 | ||||||
2分 | 2分 | 4分 | 8 | ||||||
合计 | 99 | ||||||||
潜江市项目支出绩效目标评分表 | |||||||||
填报单位: 潜江市殡葬管理所 | 主管部门:潜江市民政局 | 日期: | 2025年7月19日 | ||||||
项目名称 | 免除城乡低保等特殊困难对象基本殡葬服务费用 | 资金总额 | 68万元 | 实施单位 | 潜江市殡葬管理所 | ||||
项目资金(8分) | 年初预算数(A) | 全年执行数(B) | 分值 | 执行率(B÷A) | 自评分(每增减5%扣1分,扣完为止) | 考评评分 | |||
当年本级财政资金总额 | 68万元 | 79.38万元 | 8 | 100% | 8 | ||||
绩效指标(80分) | 一级指标 | 二级指标 | 三级指标 | 分值 | 年初指标值(A) | 实际完成 值(B) | 完成率(B÷A) | 自评分 | 考评评分 |
成本指标(8分) | 经济成本指标 (8分) | 特殊困难对象基本殡葬服务经费成本 | 8 | 58万元 | 119.28万元 | 100% | 8 | ||
特殊困难对象基本殡葬服务办公经费 | 10万元 | 10万元 | 100% | ||||||
产出指标(40分) | 数量指标(20分) | 减免对象完成数 | 20 | 570 | 1040 | 100% | 20 | ||
质量指标(10分) | 特殊困难对象殡仪服务流程合规率 | 10 | 100% | 100% | 100% | 10 | |||
时效指标(10分) | 特殊困难对象基本殡葬服务及时率 | 10 | 100% | 100% | 100% | 10 | |||
效益指标(30分) | 社会效益(30分) | 保障社会公共服务均等化 | 30 | 保障 | 保障 | 100% | 30 | ||
满意度指标(2分) | 服务对象满意度指标(2分) | 特殊困难对象家属满意度 | 2 | 100% | 100% | 100% | 2 | ||
绩效报告或绩效评价报告(12分) | 报告上报时间(4分) | 分值 | 自评分 | 考评 | |||||
按时上报 | 未按时上报 | 未上报 | |||||||
4分 | 2分 | 0分 | 4分 | ||||||
报告质量(8分) | 分值 | 自评分 | 考评评分 | ||||||
格式规范 | 内容完整 | 佐证资料齐全 | |||||||
2分 | 2分 | 4分 | 8分 | ||||||
合计 | 100分 | ||||||||
潜江市项目支出绩效目标评分表 | |||||||||
填报单位:潜江市殡葬管理所 | 主管部门:潜江市民政局 | 日期:2025年7月15日 | |||||||
项目名称 | 无名尸火化费 | 资金总额 | 18万元 | 实施单位 | 潜江市殡葬管理所 | ||||
项目资金 | 年初预算批复数(A) | 全年执行数(B) | 分值 | 执行率(B÷A) | 自评分(每增减5%扣1分,扣完为止) | 考评评分 | |||
当年本级财政资金总额 | 18万元 | 18万元 | 8 | 100% | 8 | ||||
绩效指标(80分) | 一级指标 | 二级指标 | 三级指标 | 分值 | 年初指标值(A) | 实际完成值(B) | 完成率(B÷A) | 自评分 | 考评评分 |
成本指标(8分) | 经济成本指标 (8分) | 成本控制率 | 10 | 100% | 100% | 100% | 8 | ||
产出指标(40分) | 数量指标(20分) | 无名尸人数 | 20 | 1-5人 | 4 | 100% | 20 | ||
质量指标(10分) | 无名尸处理工作合规率 | 10 | 100% | 100% | 100% | 10 | |||
时效指标(10分) | 无名尸处理及时率 | 10 | 100% | 100% | 100% | 10 | |||
效益指标(32分) | 社会效益(32分) | 维护社会稳定,保障无名逝者得到安息 | 25 | 保障 | 保障 | 100% | 32 | ||
绩效报告或绩效评价报告(12分) | 报告上报时间(4分) | 分值 | 自评分 | 考评 | |||||
按时上报 | 未按时 | 未上报 | |||||||
4分 | 2分 | 0分 | 4分 | ||||||
报告质量(8分) | 分值 | 自评分 | 考评评分 | ||||||
格式规范 | 内容完整 | 佐证资料齐全 | |||||||
2分 | 2分 | 4分 | 8分 | ||||||
合计 | 100分 | ||||||||
潜江市项目支出绩效目标评分表 | |||||||||
填报单位: 潜江市民政局婚姻登记处 | 主管部门: 潜江市民政局 | 日期: | |||||||
项目名称 | 综合事务管理经费 | 资金总额 | 22.05 | 实施单位 | 婚姻登记处 | ||||
项目资金(8分) | 年初预算数(A) | 全年执行数(B) | 分值 | 执行率(B÷A) | 自评分(每增减5%扣1分,扣完为止) | 考评评分 | |||
当年本级财政资金总额 | 22.05 | 22.05 | 8 | 100% | 100 | 8 | |||
绩效指标(80分) | 一级指标 | 二级指标 | 三级指标 | 分值 | 年初指标值(A) | 实际完成 值(B) | 完成率(B÷A) | 自评分 | 考评评分 |
成本指标(15分) | 经济成本指标(15分) | 资金使用限额 | 15 | 22.05 | 22.05 | 100% | 15 | ||
产出指 | 数量指 | 结婚服务对象 | 5 | ≥5000 | 4457 | 89% | 4 | ||
离婚服务对象 | 4 | ≥1500 | 2859 | 100% | 4 | ||||
离婚申请服务对象 | 4 | ≥2000 | 2653 | 100% | 4 | ||||
婚姻档案查询 | 3 | ≥2000 | 3134 | 100% | 3 | ||||
瑕疵婚姻处理 | 4 | ≥10 | 6 | 60% | 2 | ||||
质量指标(10分) | 经费使用合格率 | 10 | 10 | 100% | 100% | 10 | |||
时效指标(10分) | 完成时间 | 10 | 10 | 2024 | 2024 | 10 | |||
效益指标(20分) | 社会效益(20分) | 为广大婚姻当事人提供登记服务 | 20 | 符合 | 符合 | 符合 | 20 | ||
满意度指标(5分) | 服务对象满意度(5分) | 服务对像满意度 | 5 | 5 | 5 | 5 | 5 | ||
绩效报告或绩效评价报告(12分) | 报告上报时间(4分) | 分值 | 自评分 | 考评 | |||||
按时上报 | 未按时上报 | 未上报 | |||||||
4分 | 2分 | 0分 | 4 | ||||||
报告质量(8分) | 分值 | 自评分 | 考评评分 | ||||||
格式规范 | 内容完整 | 佐证资料齐全 | |||||||
2分 | 2分 | 4分 | 8 | ||||||
合计 | 97 | ||||||||
财政专项支出、专项转移支付支出的部门(单位)参照部门预算公开的范围、体例和内容进行公开。
第四部分 其他需要说明的情况
第五部分 名词解释
(一)一般公共预算财政拨款收入:指省级财政一般公共预算当年拨付的资金。
(二)政府性基金预算财政拨款收入:指省级财政政府性基金预算当年拨付的资金。
(三)国有资本经营预算财政拨款收入:指省级财政国有资本经营预算当年拨付的资金。
(四)上级补助收入:指从事业单位主管部门和上级单位取得的非财政补助收入。
(五)事业收入:指事业单位开展专业业务活动及其辅助活动取得的收入。
(六)经营收入:指事业单位在专业业务活动及其辅助活动之外开展非独立核算经营活动取得的收入。
(七)其他收入:指单位取得的除上述“一般公共预算财政拨款收入”、“政府性基金预算财政拨款收入”、“国有资本经营预算财政拨款收入”、“上级补助收入”、“事业收入”、“经营收入”等收入以外的各项收入。(该项名词解释中“上述……等收入”请依据部门收入的实际情况进行解释)
(八)使用非财政拨款结余(含专用结余):指事业单位按照预算管理要求使用非财政拨款结余弥补收支差额的金额,以及使用专用结余安排支出的金额。
(九)年初结转和结余:指单位以前年度尚未完成、结转到本年仍按原规定用途继续使用的资金,或项目已完成等产生的结余资金。
(十)本部门使用的支出功能分类科目(到项级)
1.社会保障和就业支出(类)民政管理事务(款)行政运行(项)
2.社会保障和就业支出(类)民政管理事务(款)社会组织管理(项)
3.社会保障和就业支出(类)民政管理事务(款)行政区划和地名管理(项)
4.社会保障和就业支出(类)民政管理事务(款)基层政权建设和社区治理(项)
5.社会保障和就业支出(类)民政管理事务(款)其他民政管理事务支出(项)
6.社会保障和就业支出(类)行政事业单位养老支出(款)机关事业单位基本养老保险缴费支出(项)
7.社会保障和就业支出(类)行政事业单位养老支出(款)机关事业单位职业年金缴费支出(项)
8.社会保障和就业支出(类)抚恤(款)死亡抚恤(项)
9.社会保障和就业支出(类)社会福利(款)儿童福利(项)
10.社会保障和就业支出(类)社会福利(款)老年福利(项)
11.社会保障和就业支出(类)社会福利(款)殡葬(项)
12.社会保障和就业支出(类)社会福利(款)社会福利事业单位(项)
13.社会保障和就业支出(类)社会福利(款)养老服务(项)
14.社会保障和就业支出(类)最低生活保障(款)城市最低生活保障金支出(项)
15.社会保障和就业支出(类)最低生活保障(款)农村最低生活保障金支出(项)
16.社会保障和就业支出(类)临时救助(款)临时救助支出(项)
17.社会保障和就业支出(类)临时救助(款)流浪乞讨人员救助支出(项)
18.社会保障和就业支出(类)特困人员救助供养(款)城市特困人员救助供养支出(项)
19.社会保障和就业支出(类)特困人员救助供养(款)农村特困人员救助供养支出(项)
20.社会保障和就业支出(类)其他生活救助(款)其他城市生活救助(项)
21.卫生健康支出(类)行政事业单位医疗(款)行政单位医疗(项)
22.卫生健康支出(类)行政事业单位医疗(款)事业单位医疗(项)
23.卫生健康支出(类)优抚对象医疗(款)优抚对象医疗补助(项)
24.住房保障支出(类)住房改革支出(款)住房公积金(项)
25.城乡社区支出(类)国有土地使用权出让收入安排的支出(款)其他国有土地使用权出让收入安排的支出(项)
26.其他支出(类)其他政府性基金及对应专项债务收入(款)其他政府性基金债务收入安排的支出(项)
27.其他支出(类)彩票公益金安排的支出(款)用于社会福利的彩票公益金支出(项)
28.其他支出(类)彩票公益金安排的支出(款)用于其他社会公益事业的彩票公益金支出(项)
(十一)结余分配:指事业单位按照会计制度规定缴纳的企业所得税、提取的专用结余以及转入非财政拨款结余的金额等。
(十二)年末结转和结余:指单位按有关规定结转到下年或以后年度继续使用的资金,或项目已完成等产生的结余资金。
(十三)基本支出:指为保障机构正常运转、完成日常工作任务而发生的人员支出和公用支出。
(十四)项目支出:指在基本支出之外为完成特定行政任务或事业发展目标所发生的支出。
(十五)经营支出:指事业单位在专业活动及辅助活动之外开展非独立核算经营活动发生的支出。
(十六)“三公”经费:纳入省级财政预决算管理的“三公”经费,是指省直部门用财政拨款安排的因公出国(境)费、公务用车购置及运行费和公务接待费。其中,因公出国(境)费反映单位公务出国(境)的国际旅费、国外城市间交通费、住宿费、伙食费、培训费、公杂费等支出;公务用车购置及运行费反映单位公务用车购置支出(含车辆购置税、牌照费)及燃料费、维修费、过桥过路费、保险费、安全奖励费用等支出;公务接待费反映单位按规定开支的各类公务接待(含外宾接待)费用。
(十七)机关运行经费:指为保障行政单位(包括参照公务员法管理的事业单位)运行用于购买货物和服务的各项资金,包括办公费、印刷费、邮电费、差旅费、会议费、福利费、日常维修费、专用材料及一般设备购置费、办公用房水电费、办公用房取暖费、办公用房物业管理费、公务用车运行维护费以及其他费用。
(十八)其他专用名词。
第六部分 附件
潜江市民政局
2024年度整体支出绩效报告
根据《潜江市财政局关于开展2025年财政支出绩效评价工作的通知》(潜财绩[2025]1号)和《潜江市财政局关于全面实施预算绩效管理工作的通知》(潜财绩[2019]8号)文件要求,我局成立了绩效评价工作小组,对本部门2024年部门预算整体支出情况进行了绩效评价,现将有关情况报告如下:
一、自评结论
(一)部门整体绩效自评得分:2024年民政局整体支出绩效自评价情况较好,自评计算得分98.5分。
附:《民政局整体支出绩效目标评分表》
(二)部门整体绩效目标完成情况
1、执行率情况:2024年民政局整体支出年初预算27355.64万元,全年执行数37124.2万元,执行率135%。
2、完成的绩效目标:在市委、市政府的正确领导下,市民政局坚持以习近平新时代中国特色社会主义思想为指导,全面贯彻党的二十大精神,认真执行国家的决策和省、市的工作部署,坚持以人民为中心的发展理念,改革创新,锐意进取,全面履行基本民生保障、基本社会服务等职责,推进各项民政重点工作取得新成效,以实际行动为我市加快打造“一城三基地”、奋力建设四化同步发展示范区作贡献。
3、未完成的绩效目标:无。
(三)存在的问题和原因
自评发现,在预算编制中存在着一些值得重视的问题。一是人员支出预测精确度不高,实际完成数与预算数存在差异;二是因省级专项资金、债劵资金无法准确预估,导致项目支出大于预算数。
(四)下一步拟改进措施
今后制定绩效指标值时,将充分联系工作实际,对工作完成情况进行合理预估,增强绩效工作的科学性、合理性、准确性。
二、佐证材料
(一)基本情况
1、工作要点
(1)落实落细社会救助政策。全面落实低保、特困和临时救助等社会救助政策,突出主动发现,强化扩围增效,动态精准落实措施,做到应保尽保、应兜尽兜。全面落实分散供养特困人员、重病重残低保对象等重点人员联系帮扶机制,规范特困人员救助供养工作,提升分散供养特困人员照料服务质量。落实临时救助政策,加强和改进临时救助工作,提高制度可及性、救助时效性。落实社会救助标准量化调整自然增长机制和价格联动机制,加强城乡统筹,及时发放各类救助补助资金。
(2)提升儿童福利精细化服务水平。落实孤儿养育标准自然增长机制和临时价格补贴政策,加强儿童福利政策宣传。开展孤儿助学、明天计划等助医助学项目。推进儿童福利机构优化提质和创新转型高质量发展,推动儿童福利机构纳入残疾儿童康复救助定点服务机构工作。加强儿童福利服务对象动态信息管理和档案建设。培育指导儿童福利机构建设高质量发展示范单位。
(3)提升救助管理服务保障能力。全面推进党中央、国务院和省委、省政府、民政部关于救助管理特别是落户安置有关要求贯彻落实。开展全市救助管理工作临时救助点建设试点。完善易走失人员信息台账。开展“冬季送温暖”“夏季送清凉”专项救助行动和救助寻亲服务。
(4)持续提高残疾人福利水平。开展残疾人两项补贴精准管理政策落实“回头看”,推动提高困难残疾人生活补贴标准。推动残疾人两项补贴审核审定权全部下放至区镇(街道)。强化对乡镇街道办事处两补系统工作人员培训,特别是对全程网办系统流程操作。进一步加强残疾人两补政策的宣传引导工作,定期入户抽查,核实两补资金到位情况,确保全市残疾人享受到应有福利。
(5)完善党领导社会组织登记管理制度。落实党委政府研究决定社会组织重大事项制度和党委常委会定期听取社会组织工作汇报制度。落实社会组织登记机关的党建责任,实现社会组织成立登记、章程核准、年检年报、专项抽查、等级评估、教育培训与社会组织党建“六同步”。配合相关部门完善行业协会、学会、商会党建工作管理体制,协同推动民政部门主管社会组织加强自身建设。
(6)加强区划地名管理工作。持续推进行政区划理论研究。规范开展我市行政区划信息的编制、使用。进一步宣传贯彻落实《地名管理条例》,发挥我市地名管理工作协调机制,规范开展地名的命名、更名工作。持续加强地名文化挖掘和保护。推动地名服务与智慧城市建设、文化遗产保护等融合发展。做好道路标志的设置、安装、维护。完成全市区(镇、街道)级行政区域界线勘定结果联合上报工作。规范开展勘界档案的整理、存放、使用。
(7)提升养老服务能力。加强城乡社区养老服务设施建设,完成2个街道(区镇)养老服务综合体、2个农村互助照中心提档升级、180户特殊困难老年人家庭适老化改造、100户家庭养老床位建设等民生实事项目建设。推进城市居住区养老服务设施配建补齐工作,落实“四同步”机制,着力打造2-3家老年幸福食堂。整合经济困难高龄、失能老人补贴资金,加大政府购买居家上门服务力度。
(8)深化殡葬领域改革。严格按照市委一号文件精神,完善公益性公墓布点,并纳入全市总规。抓好村级公益性公墓建设管理,扩大区镇中心村公墓覆盖率。完善公益性公墓管理办法,规范收费标准、管理模式,推动全市公益性公墓管理创新发展,建立长效机制。规范殡葬服务机构管理,落实公益性公墓价格政策,推进殡葬服务突出问题专项整治。推进殡葬信息化建设,进一步提升“居民身故一件事”功能。做好清明节祭扫服务保障和宣传工作。
2、部门支出情况
2024年,民政局实际支出37124.2万元,比预算增加35%,其中:人员经费支出2937.64万元,公用经费支出982.98万元。项目资金支出33203.58万元,主要是省级专项资金支出以及民政事业园项目支出。
2024年“三公”经费支出20.65万元(公务接待费2.93万元,因公出国(境)0万元,公车运行维护费17.72万元)。
3、部门整体绩效目标
全市民政工作坚持以习近平新时代中国特色社会主义思想为指导,深入领会习近平总书记对民政工作重要指示精神,全面贯彻党的二十大精神,全面落实党中央、国务院决策部署和省委、省政府及市委、市政府工作要求,坚持稳中求进工作总基调,完整、准确、全面贯彻新发展理念,服务加快构建新发展格局。在统筹推进各项工作的基础上,要突出重点,改革创新,不断开创潜江民政事业高质量发展新局面,为我市加快打造“一城三基地”、奋力建设四化同步发展示范区贡献民政力量。
(二)部门自评工作开展情况
1、评价方法。根据《市财政局关于开展部门整体支出绩效考评工作的通知》精神,我局成立部门整体支出绩效考评小组,按照前期准备、自评、现场评价、报告撰写四个阶段,以现场评价和非现场评价相结合的方式,实施了整体支出绩效评价,评价工作主要侧重于财政安排资金的专项支出,在收集文件资料、细化评价指标及评价标准的基础上,采用查阅账册、抽查凭证、核对原始记录、询问相关人员等方法,在定量和定性分析的基础上形成评价结论,并经复核和与所属预算单位交换意见后形成绩效评价报告。
2、评价结果。2024年民政局支出绩效评价整体情况较好。具体表现在:预算编制较为及时、准确,预算执行情况较好;在执行管理和支出绩效方面,认真执行各项财经纪律,财务管理制度较为健全,资金使用较为规范;项目实施取得了一定的经济和社会效益,为全市经济发展发挥了积极促进作用。“三公”经费控制较好,压缩率达到预定目标,党风廉政建设一岗双责得到全面贯彻落实。但是,在预算编制的完整性上有得进一步提高,还存在费用开支不合规和超范围使用资金的现象。由于本部门基本支出经费严重不足,还存在挤占挪用专项资金的现象。同时,项目支出管理的规范性、科学性不足,项目整体效益尚需提升。
市民政局2024年度部门整体支出绩效评价算计得分98.5分。附:《市民政部门2024年度部门整体支出绩效评价自评表》
(三)绩效目标完成情况分析
1、预算执行情况分析。
(1)预算收入情况
2024年民政局部门预算收入27360.5万元,其中:一般公共预算财政拨款收入25216.89万元,政府性基金预算财政拨款收入523.35万元,其他收入486.47万元,年初结转和结余1133.79万元。
(2)实际完成收入情况
2024年,民政局实际完成收入37523.68万元,其中:本一般公共预算财政拨款收入26652.41万元,主要是省级专项资金拨款;政府性基金预算财政拨款收入8982.84万元;其他收入690.48万元,主要是非税收入;年初结转和结余1197.95万元。
(3)预算支出情况
2024年,民政局预算支出27360.5万元,其中:人员经费支出3183.78万元,公用经费支出1117.1万元,项目资金支出23059.62万元。
(4)支出完成情况
2024年,民政局实际支出37124.2万元,比预算增加35%,其中:人员经费支出2937.64万元;公用经费支出982.98万元;项目资金支出33203.58万元,主要是省级专项资金支出以及民政事业园项目支出。
2024年“三公”经费支出20.65万元(公务接待费2.93万元,因公出国(境)0万元,公车运行维护费17.72万元)。
2、绩效目标完成情况分析
在编报2024年度财政部门预算时,我局申报并经财政部门审核批复的部门整体年度绩效目标如下:
(1)产出指标完成情况分析。
数量指标:⑴在职人员33人,其中:公务员15人,事业人员18人,在职人员控制率100%;⑵流浪乞讨救助人次数431人次,残疾人两项补贴发放人数20097人,农村公益性公墓建设10处,覆盖行政村21个,婚姻登记对数4193对;⑶80-89周岁高龄老人津贴发放人数24454人,90-99周岁高龄老人津贴发放人数2835人,100岁以上高龄老人津贴发放人数37人,运营补贴个数23家,⑷孤儿基本生活养育资金发放人数29人,事实无人抚养儿童生活补贴发放人数197人,留守儿童人数1515人;⑸社会组织注销、清算审计单位个数20个,道路命名数量33条,路牌安装维修个数143个。
时效指标:⑴人员经费按月支付;⑵部门整体支付按进度完成;⑶各项工作在2024年底全部完成。
质量指标:⑴工作履职,保障日常工作正常开展,履行单位职责,达到预期目标,市政府考核结果良好;⑵服务对象资格核查流程合规,办结率100%,农村公益性公墓建设验收合格率100%;⑶贯彻落实养老政策,推动养老服务社会化发展,弘扬中华民族尊老、爱老、助老的传统美德;⑷未成年人关爱保护工作,建立完备的信息台帐和数据库,实行动态管理,建立完善的儿童关爱保护工作体系和机制;⑸城乡公益性公墓建设,按照《关于鼓励开展城乡公益性生态公墓建设与管理工作的意见》开展验收,验收合格给予补贴。
成本指标:⑴单位成本,人员经费按政策规定发放,公用经费37953元/人;成本控制,成本控制率≤100%;基本支出3920.62万元,其中:人员经费2937.64万元、公用经费982.98万元;⑵资金使用限额,不超预算;⑶基本支出3920.62万元,项目支出33203.58万元;⑷部门总支出37124.2万元。
(2)效益指标完成情况分析。
社会效益:①档案管理规范;②提高民政公共服务能力;③提高服务质量,落实民政对象各项待遇。
2024年民政经费使用社会效益均已达到,其中:①市民政局机关档案管理规范,属“省特级”档案;②市民政局扛牢压实管党治党主体责任,不断加强干部队伍建设,推动工作作风转变,筑牢基层战斗堡垒,提高民政公共服务能力;③提高服务质量,落实民政对象各项待遇,一是城乡低保保障标准分别提高到758元/月和653元/月;二是城(乡)特困人员全自理、半护理、全护理供养对象救助供养标准分别调整为每月1516元(1296元)、1616元(1396元)、2870元(2733元);三是孤儿及事实无人抚养儿童社会散居、机构供养标准调整到1516元/月、2426元/月。
(3)满意度指标完成情况分析。
服务对象满意度指标:发放问卷调查表20份,收回20份,满意20份,满意率100%。
(四)上年度部门整体自评结果应用情况
通过与2023年项目绩效自评结果进行对比,在今后的项目绩效目标设定中,需进一步科学编制目标值,根据绩效目标合理编制预算,严格执行预算,加快资金拨付,规范票据使用,提高服务基层质量,确保项目资金绩效目标顺利实现。
(五)其他佐证材料
无
2024年度民政部门整体绩效自评表
单位名称 | 潜江市民政局 | ||||||||
基本支出总额 | 3920.62 | 项目支出总额 | 33203.58 | ||||||
预算执行情况(万元) (20分) | 预算数(A) | 执行数(B) | 执行率(B/A) | 得分 (20分*执行率) | |||||
部门整体支出总额 | 27355.64 | 37124.2 | 135% | 20 | |||||
年度目标1:(20分) | 保障局机关人员工资待遇和日常工作开展经费。 | ||||||||
年度绩效指标 | 一级指标 | 二级指标 | 三级指标 | 年初目标值(A) | 实际完成值(B) | 得分 | |||
成本指标 | 经济成本指标 | 人员公用经费成本控制率 | 100% | 100% | 4 | ||||
产出指标 | 数量指标 | 在职人员 | ≥36人(公务员16人,事业人员20人) | 年初36人、年底33人 | 4 | ||||
时效指标 | 支付进度率 | 6月≥50%;9月≥75%;12月≥100% | 6月50%;9月75%;12月100% | 2 | |||||
质量指标 | 各项职能工作正常运转保障率 | 100% | 100% | 4 | |||||
效益指标 | 社会效益指标 | 保障民政服务工作正常运行 | 保障 | 保障 | 4 | ||||
满意度指标 | 服务对象满意度指标 | 服务对象满意度 | 90% | 90% | 2 | ||||
年度目标2:(16分) | 社会救助工作:一是进一步完善低保对象认定方法,将符合低保条件的实行政策性兜底保障;二是完善跨部门数据共享的家庭经济状况核对机制、农村低保对象动态管理机制;三是发挥临时救助制度“救急难”的功能,及时解决贫困群众突发性、紧迫性、临时性基本生活困难。 | ||||||||
年度绩效指标 | 一级指标 | 二级指标 | 三级指标 | 年初目标值(A) | 实际完成值(B) | 得分 | |||
成本指标 | 经济成本指标 | 资金使用限额 | ≦18843万元 | 17575.05万元 | 2 | ||||
产出指标 | 数量指标 | 城市低保人数 | ≥4000人 | 4072人 | 2 | ||||
数量指标 | 农村低保人数 | ≥21000人 | 22104人 | 2 | |||||
数量指标 | 城乡特困人数 | ≥1600人 | 1634人 | 2 | |||||
数量指标 | 临时救助人数 | ≥4500人次 | 5459人次 | 2 | |||||
时效指标 | 资金发放时效 | 当年12月底前 | 当年12月底前 | 1 | |||||
质量指标 | 资金发放准确率 | 100% | 100% | 1 | |||||
效益指标 | 社会效益指标 | 保障民政服务工作正常运行 | 保障 | 保障 | 2 | ||||
满意度指标 | 服务对象满意度指标 | 服务对象满意度 | 90% | 90% | 2 | ||||
年度目标3:(16分) | 社会事务工作:一是扎实做好流浪乞讨人员救助管理工作;二是扎实做好“残疾人两项补贴”的发放与核查工作。三是积极推进婚姻登记规范化、智能化、便捷化建设和婚姻家庭辅导;四是积极推进农村公益性生态公墓建设。 | ||||||||
年度绩效指标 | 一级指标 | 二级指标 | 三级指标 | 年初目标值(A) | 实际完成值(B) | 得分 | |||
成本指标 | 经济成本指标 | 资金使用限额 | ≦2806万元 | 3048.44万元 | 2 | ||||
产出指标 | 数量指标 | 流浪乞讨救助人次数 | ≥450人 | 431人 | 1.5 | ||||
数量指标 | 残疾人两项补贴发放人数 | ≥19400人 | 20097人 | 2 | |||||
数量指标 | 婚姻登记对数 | ≥6500人 | 4193对 | 2 | |||||
数量指标 | 农村公益性公墓建设数量 | ≥24个 | 10处21个村 | 1.5 | |||||
时效指标 | 资金发放时效 | 当年12月底前 | 当年12月底前 | 1 | |||||
质量指标 | 资金发放准确率 | 100% | 100% | 1 | |||||
效益指标 | 社会效益指标 | 保障民政服务工作正常运行 | 保障 | 保障 | 2 | ||||
满意度指标 | 服务对象满意度指标 | 服务对象满意度 | 90% | 90% | 2 | ||||
年度目标4:(16分) | 养老服务工作:一是开展社区居家养老服务工作,二是建立健全经济困难的高龄、失能老年人补贴制度,三是推进养老机构质量标准化建设。 | ||||||||
年度绩效指标 | 一级指标 | 二级指标 | 三级指标 | 年初目标值(A) | 实际完成值(B) | 得分 | |||
成本指标 | 经济成本指标 | 资金使用限额 | ≦1810万元 | 1926万元 | 2 | ||||
产出指标 | 数量指标 | 高龄津贴发放人数 | 25585人 | 27297人 | 3 | ||||
数量指标 | 养老机构个数 | ≥22个 | 23个 | 3 | |||||
时效指标 | 资金发放时效 | 当年12月底前 | 当年12月底前 | 2 | |||||
质量指标 | 资金发放准确率 | 100% | 100% | 2 | |||||
效益指标 | 社会效益指标 | 保障民政服务工作正常运行 | 保障 | 保障 | 2 | ||||
满意度指标 | 服务对象满意度指标 | 服务对象满意度 | 90% | 90% | 2 | ||||
年度目标5:(16分) | 儿童福利工作:一是继续加强未成年人关爱保护工作;二是大力推动儿童服务站建设工作。 | ||||||||
年度绩效指标 | 一级指标 | 二级指标 | 三级指标 | 年初目标值(A) | 实际完成值(B) | 得分 | |||
成本指标 | 经济成本指标 | 资金使用限额 | ≦446万元 | 378.5 | 2 | ||||
产出指标 | 数量指标 | 孤儿人数 | ≥31人 | 29人 | 2 | ||||
数量指标 | 事实无人抚养儿童人数 | ≥182人 | 197人 | 2 | |||||
数量指标 | 留守儿童人数 | ≥1404人 | 1515人 | 2 | |||||
时效指标 | 资金发放时效 | 当年12月底前 | 当年12月底前 | 2 | |||||
质量指标 | 资金发放准确率 | 100% | 100% | 2 | |||||
效益指标 | 社会效益指标 | 保障民政服务工作正常运行 | 保障 | 保障 | 2 | ||||
满意度指标 | 服务对象满意度指标 | 服务对象满意度 | 90% | 90% | 2 | ||||
年度目标6:(16分) | 社会治理:一是推动社会组织改革;二是深入推进地名普查工作。 | ||||||||
年度绩效指标 | 一级指标 | 二级指标 | 三级指标 | 年初目标值(A) | 实际完成值(B) | 得分 | |||
成本指标 | 经济成本指标 | 资金使用限额 | ≦7.09万元 | 14.8万元 | 2 | ||||
产出指标 | 数量指标 | 社会组织个数注销及清算审计社会组织个数 | ≥25个 | 20个 | 1.5 | ||||
数量指标 | 道路命名个数 | ≥30个 | 33条 | 2 | |||||
数量指标 | 路牌安装维修个数 | ≥50个 | 143个 | 2 | |||||
时效指标 | 资金发放时效 | 当年12月底前 | 当年12月底前 | 2 | |||||
质量指标 | 资金发放准确率 | 100% | 100% | 2 | |||||
效益指标 | 社会效益指标 | 保障民政服务工作正常运行 | 保障 | 保障 | 2 | ||||
满意度指标 | 服务对象满意度指标 | 服务对象满意度 | 90% | 90% | 2 | ||||
总分 | 98.5 | ||||||||
偏差大或 目标未完成 原因分析 | 年度绩效目标1中在职人员这一指标,由于机构改革调出4人、人事变动转入1人、招考1人、退休1人,故年底人数为33人。 年度绩效目标3中流浪乞讨救助人次数这一指标,年初目标值450人次乃参考上年实现值确定,但本年实际救助人次数为431人次。 年度绩效目标3中农村公益性公墓建设数量这一指标未达到年初目标值,原因为项目资金短缺,奖补资金未及时拨付到位。 | ||||||||
改进措施及 结果应用方案 | 今后制定绩效指标值时,将充分联系工作实际,对工作完成情况进行合理预估,增强绩效工作的科学性、合理性、准确性。 | ||||||||
128
扫一扫在手机上查看当前页面